М
Молодежь
К
Компьютеры-и-электроника
Д
Дом-и-сад
С
Стиль-и-уход-за-собой
П
Праздники-и-традиции
Т
Транспорт
П
Путешествия
С
Семейная-жизнь
Ф
Философия-и-религия
Б
Без категории
М
Мир-работы
Х
Хобби-и-рукоделие
И
Искусство-и-развлечения
В
Взаимоотношения
З
Здоровье
К
Кулинария-и-гостеприимство
Ф
Финансы-и-бизнес
П
Питомцы-и-животные
О
Образование
О
Образование-и-коммуникации
севга
севга
15.11.2021 22:03 •  Химия

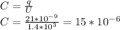
Какова ёмкость конденсатора,если при его зарядке до напряжения 1,4кв он получает 21нкл

👇
Ответ:
goum1
goum1
15.11.2021

15мкФ

Объяснение:

C=\frac{q}{U}\\ C=\frac{21*10^{-9}}{1.4*10^3} =15*10^{-6}

4,5(16 оценок)
Открыть все ответы
Ответ:
sladkaezhka19
sladkaezhka19
15.11.2021

Основні родовища мінеральних вод в Україні: Степанське, Данишівське, Полонське, Березівське, Миргородське, Новопсковське, Білоцерківське, Миронівське, Хмільницьке, Лиманське, Старобільське, Моршинське, Збручанське, Трускавецьке, Солуки, Конопківське, Новозбручанське, Слов'яногірське, Плосківське, Новополянське, Звенигородське, Полянське, Сойминське, Знам'янське, Луганське, Синяцьке, Голубинське, Брусницьке, Гірськотисенське, Лазурне, Куяльник, Кирилівське, Одеське, Сергіївське, Колодязне, Феодосійське, Євпаторійське, Шаян.

4,6(30 оценок)
Ответ:
Shatunova1976
Shatunova1976
15.11.2021

Дано:

D(O2) = 2,5625

Найти: CxHy

Вычислим молярную массу алкина:

Mr (в-ва) = M(O2) ∙ D(O2) =  32 ∙ 2,5625 = 82

Так как общая формула алкинов  CnH2n-2, то подставив данные получим:

14n -2 = 82

14n=80

n=6

следовательно формула алкина:

C6H10

ответ: C6H10 - гексин

 

 

Дано:

D(N2) = 2

Найти: CxHy

Вычислим молярную массу алкена:

Mr (в-ва) = M(N2) ∙ D(N2) =  28 ∙ 2 = 56

Так как общая формула алкенов  CnH2n, то подставив данные получим:

12n +2n = 56

14n=56

n=4

следовательно формула алкена:

C4H8

ответ: C4H8 - бутен

4,6(17 оценок)
Новые ответы от MOGZ: Химия
logo
Вход Регистрация
Что ты хочешь узнать?
Спроси Mozg
Открыть лучший ответ