М
Молодежь
К
Компьютеры-и-электроника
Д
Дом-и-сад
С
Стиль-и-уход-за-собой
П
Праздники-и-традиции
Т
Транспорт
П
Путешествия
С
Семейная-жизнь
Ф
Философия-и-религия
Б
Без категории
М
Мир-работы
Х
Хобби-и-рукоделие
И
Искусство-и-развлечения
В
Взаимоотношения
З
Здоровье
К
Кулинария-и-гостеприимство
Ф
Финансы-и-бизнес
П
Питомцы-и-животные
О
Образование
О
Образование-и-коммуникации
tatanapahomova9
tatanapahomova9
31.08.2020 05:29 •  Химия

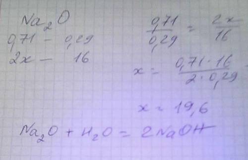
Массовая доля O в оксиде одновалентного металла равна 0,29. опредилите метал характерными свойствами оксида и запишите реакцию характерную его свойства

👇
Ответ:
zhansaya77
zhansaya77
31.08.2020

Na2O + H2O = 2NaOH

Объяснение:


Массовая доля O в оксиде одновалентного металла равна 0,29. опредилите метал характерными свойствами
4,7(99 оценок)
Открыть все ответы
Ответ:
valovaliza2018
valovaliza2018
31.08.2020
А) Fe(OH)3
Б) K2SO4
В) 25
) a2CO3
Д) Ca3(PO4)2
E) Ba(OH)2
Ж) Cu(NO3)2
З) FeO
2.
Na2O - оксид натрия; оксид; Na - +, О - -2
K2SO4 - сульфат калия; соль; К - +, S - +6, О - -2
Al(OH)3 - гидроксид алюминия; гидроксид; Al - +3, OH - -
Mg(NO3)2 - нитрат магния; соль; Mg - +2, NO3 - -
NO2 - оксид азота; оксид; N - +4, O - -2
Ca3(PO4)2 - фосфат кальция; соль; Ca - +2, PO4 - -3
SO2 - оксид серы; оксид; S - +4, O - -2
K2CO3 - карбонат кальция; соль; К - +, CO3 - -2
H2O2 - пероксид водорода; Н - +, O - -1
N2 - азот; газ(обычное вещ-во); ступень окисления - 0
3.
Mn2O7
P2O5
Li2O
4.
K2SO4
формула: атомная масса * кол-во атомов в формуле/масса всего вещества*100%
w(K) = 39*2/135*100% = 60%
w(S) = 32*1/135*100% = 30%
w(O) = 16*4/135*100% = 50%
5.
w р.в(H2SO4) = 250*20/100% = 50г
w р.в(H2SO4) = 160*3/100% = 4.8г
mобщ = 250+160 = 410г
w р.в общ = 50+4.8 = 54.8%
w общ =54.8/410*100% = 13%
4,6(93 оценок)
Ответ:
diliana200405
diliana200405
31.08.2020

Объяснение:

при взаимодействии 6 литров азота с 12 литров водорода образовался аммиак. Найдите массу получившегося аммиака

  Запишем  уравнение  реакции:    

                       6 л           12 л              х  л

                       N2 г  +   3 H2 г  ⇄  2NH3 г

Из  уравнения  реакции  мы  видим,  что  для  реакции  с 6  литрами  азота  нам  бы  понадобилось  бы  18 литров  водорода.

А для  реакции  с 12 л  водорода  нам  бы  понадобилось  бы   4 литра азота.   Таким  образом,  в  избытке  взят  азот  и  и  весь  дальнейший  расчет  строим  исходя  из  объема  водорода.

 Исходя  из  уравнения   мы  определяем,  что  аммиака  образовалось  бы  8 литров  (12 л :3) х 2 = 8 л

8 л газа  при н.у.  соответствуют    8 л :  22,4  л/моль= 0,357 моль.

Молярная  масса  аммиака  17 г/моль.  Тогда  масса  аммиака  составит:   17, г/моль  × 0,357  моль = 6 г  (округленно)

4,7(23 оценок)
Новые ответы от MOGZ: Химия
logo
Вход Регистрация
Что ты хочешь узнать?
Спроси Mozg
Открыть лучший ответ