М
Молодежь
К
Компьютеры-и-электроника
Д
Дом-и-сад
С
Стиль-и-уход-за-собой
П
Праздники-и-традиции
Т
Транспорт
П
Путешествия
С
Семейная-жизнь
Ф
Философия-и-религия
Б
Без категории
М
Мир-работы
Х
Хобби-и-рукоделие
И
Искусство-и-развлечения
В
Взаимоотношения
З
Здоровье
К
Кулинария-и-гостеприимство
Ф
Финансы-и-бизнес
П
Питомцы-и-животные
О
Образование
О
Образование-и-коммуникации
ZeepFire
ZeepFire
07.12.2021 23:25 •  Химия

Массовая доляоксигенув оксидее2о3составляет 30%.определитеэлемент е.

👇
Ответ:
ALEXCOOL613
ALEXCOOL613
07.12.2021

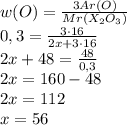
w(O)=\frac{3Ar(O)}{Mr(X_2O_3)}\\0,3=\frac{3\cdot{16}}{2x+3\cdot{16}}\\2x+48=\frac{48}{0,3}\\2x=160-48\\2x=112\\x=56

Химический элемент с относительной атомной массой 56 - Железо, а его оксид - Fe_2O_3 

4,7(40 оценок)
Ответ:
Dirijabl
Dirijabl
07.12.2021

E2O3

Атомов кислорода в соединении - 3.

w(O)=M(O)*3/M(E)*2

30%=0.3

0.3=16*3/M(E)*2

0.3= 48/M(E)*2

M(E)*2=48/0.3

M(E)*2=160 

M(E)=160/2=80

80 - молярная масса брома.(Br) 

4,6(4 оценок)
Открыть все ответы
Ответ:
sonsonms
sonsonms
07.12.2021
Соли можно различить при нитрата серебра (I):
1) NaCl + AgNO3 = AgCl↓ + NaNO3
    2AgCl = 2Ag + Cl2
при действии на раствор хлорида натрия раствором нитрата серебра образуется белый осадок хлорида серебра, который разлагается на свету при комнатной температуре с образованием черного тонкодисперсного порошка серебра.
2) Na2CO3 + 2AgNO3 = Ag2CO3↓ + 2NaNO3
при действии на раствор карбоната натрия раствором нитрата серебра образуется желтый осадок карбоната серебра.
3) Na2SO4 + 2AgNO3 = Ag2SO4↓ + 2NaNO3
при действии на раствор сульфата натрия раствором нитрата серебра образуется белый осадок сульфата серебра.
4,5(73 оценок)
Ответ:
lenaaaaaak1
lenaaaaaak1
07.12.2021
Например, при любом нагревании жидкости или газа молекулы начинают двигаться быстрее и чаще ударяются друг о друга.
При нагревании твердых тел молекулы двигаться не могут, потому что они в кристаллах, но они начинают колебаться все сильнее и сильнее, и при определенной температуре плавления кристаллы разрушаются и тело превращается в жидкость.
А если нагреть еще сильнее, то при температуре кипения расстояние между молекулами увеличивается настолько, что жидкость превращается в газ.
При дальнейшем нагревании можно добиться того, что в молекулах начнут отрываться электроны, и газ станет ионизированным, то есть превратится в плазму.
4,6(18 оценок)
Это интересно:
Новые ответы от MOGZ: Химия
logo
Вход Регистрация
Что ты хочешь узнать?
Спроси Mozg
Открыть лучший ответ