Объяснение:
1.Молекула — совокупность двух или более атомов, образующих наименьшее целое, на которое можно разделить чистое вещество.
2.атом — частица вещества микроскопических размеров и массы, наименьшая часть химического элемента, являющаяся носителем его свойств.
3.при 0 начинается таяние снега
4.Химическая формула – условная запись состава вещества при химических символов и индексов.
Химический знак (символ) – несет значительную информацию. Он обозначает название элемента, один его атом, один моль атомов этого элемента.
5.Неорганические вещества по составу принято делить на две группы: немногочисленную группу простых веществ (их насчитывается около 400) и очень многочисленную группу сложных веществ
6. Примеры простых веществ: водород H 2, азот N 2, кислород O 2, железо Fe, золото Au, медь Cu. Примеры сложных веществ: вода H 2 O, метан CH 4, мел CaCO 3, углекислый газ CO 2, поваренная соль NaCl.
7. Кинетическая энергия - это энергия движения тела.
8.Процесс кипения воды состоит из трёх стадий: – начало первой стадии – проскакивание со дна чайника или любого другого сосуда, в котором вода доводится до кипения, крошечных пузырьков воздуха и появления на поверхности воды новых образований пузырьков.
9. Аш два эс о четыре, серная кислота
10.Кипение — это процесс перехода воды из жидкого агрегатного состояния в газообразное, то есть ее превращение в пар.
ответ : 3) N(IV)O2 - N(II)O - N2(I)O
Объяснение:
1) Cr - III, Mg - II, Са - II - с магния валентность не изменилась в ряду - выкинули
2) К - I, Ba - II, Cu - I - сначала вовсе выросла, сразу отбрасываем
3) N - IV, N - II, N - I - происходит уменьшение в ряду
4) Cu - II, Cu - I, Mn - VII - в конце увеличилась
Чтобы определить валентность, мы смотрим на известный нам элемент, который имеет постоянную валентность в данном соединении. Все представленные в задании вещества - оксиды - сложные вещества, в состав которых входит кислород со степенью окисления -2 или валентностью II.
Например возьмем Mn2O7, мы уже знаем, что валентность кислорода II, теперь мы умножим эту валентность на индекс элемента, то есть II умножим на индекс кислорода - 7 = 14. Теперь данный коэффициент мы делим на индекс элемента, у которого хотим найти валентность, то есть на 2 (под марганцем - 2). 14 / 2 = 7 - Валентность марганца в данном оксиде. Валентность принято обозначать римскими цифрами, поэтому - VII . А оксид будет называться - оксид марганца (VII)

Номер 5.Цепочка под буквой а.
P.S.
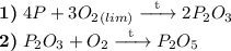
Цепочка под буквой б.
P.S.
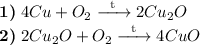
Цепочка под буквой в.