М
Молодежь
К
Компьютеры-и-электроника
Д
Дом-и-сад
С
Стиль-и-уход-за-собой
П
Праздники-и-традиции
Т
Транспорт
П
Путешествия
С
Семейная-жизнь
Ф
Философия-и-религия
Б
Без категории
М
Мир-работы
Х
Хобби-и-рукоделие
И
Искусство-и-развлечения
В
Взаимоотношения
З
Здоровье
К
Кулинария-и-гостеприимство
Ф
Финансы-и-бизнес
П
Питомцы-и-животные
О
Образование
О
Образование-и-коммуникации
1234567890859
1234567890859
07.04.2022 10:28 •  Химия

Решите даю 100 б решите решите​

👇
Ответ:
sokolovasvetla1
sokolovasvetla1
07.04.2022

1)

а, 3, b

б, 1, c

в, 4, a

г, 2, z

2)

4

3)

3

4)

C=CO_2=H_2CO_3= MgCO_3\\1)C+O_2=CO_2\\2) H_2O+CO_2=H_2CO_3\\3)H_2CO_3+Mg=MgCO_3+H_2\uparrow

5)

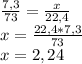
Дано:

m(HCl)=7,3г

Найти:

V(H₂)=?

         7,3г                хл

2Na+2HCl⇒2NaCl+H₂

       2моль             1моль

     36,5г/моль      22,4л/моль

         73г                   22,4л

M_r(HCl)=1+35,5=36,5г/моль

m(HCl)=2*36,5=73г

V_r(H_2)=22,4л/моль

V(H_2)=44,8*1=44,8л

Составляем пропорцию

\frac{7,3}{73} =\frac{x}{22,4} \\x=\frac{22,4*7,3}{73} \\x=2,24

ответ: V(H₂)=2,24л

4,5(43 оценок)
Открыть все ответы
Ответ:
polinadorokhova
polinadorokhova
07.04.2022
Реакции соединения:
1) СаО + H2O = Ca(OH)2 - оксид кальция + вода = гидроксид кальция
2) 2Н2 + О2 = 2Н2О - водород + кислород = вода
3) 2СО + О2 = 2СО2 - оксид углерода (ІІ) + кислород = оксид углерода (IV)
4) Fe + S = FeS - феррум + сера = сульфид железа (ІІ)
5) 2Fe + 3Cl2 = 2FeCl3 - феррум + хлор = хлорид железа (ІІІ)
6) S + O2 = SO2 - сера + кислород = диоксид серы
7) 2SO2 + O2 = 2SO3 - диоксид серы + кислород = триоксид серы
8) H2 + S = H2S - водород + сера = сероводород
9) SO3 + H2O = H2SO4 - триоксид серы + вода = серная кислота
10) КOH + H2SO4 = KHSO4 - гидроксид калия + серная кислота = гидросульфат калия
Реакции разложения:
1) СaCO3 = CaO + CO2 - карбонат кальция = оксид кальция + оксид углерода (IV)
2) 2H2O = 2H2 + O2 - вода = водород + кислород
3) 2Fe(OH)3 = Fe2O3 + 3H2O - гидроксид железа (ІІІ) = оксид железа (ІІІ) + вода
4) H2CO3 = H2O + CO2 - угольная кислота = вода + углекислый газ
5) Cu(OH)2 = CuO + H2O - гидроксид меди (ІІ) = оксид меди (ІІ) + вода
6) NH4NO3 = N2O + 2H2O - нитрат аммония = оксид азота (І) + вода
7) 2AgNO3 = 2Ag + 2NO2 + O2 - нитрат серебра = серебро + оксид азота (IV) + кислород
8) 4HNO3 = 2H2O + 4NO2 + O2 - азотная кислота = вода + оксид азота (IV) + кислород
9) (NH4)2CO3 = 2NH3 + CO2 + H2O - карбонат аммония = аммиак + углекислый газ + вода
10) NH4Cl = NH3 + HCl - хлорид аммония = аммиак + хлороводород
4,6(90 оценок)
Ответ:
neush
neush
07.04.2022
Уравнение: Mg + 2HCl = MgCl₂ + H₂↑
200 грамм 5% раствора содержат 5×2 = 10 грамм HCl.
Молярная масса HCl равна 36,5 грамм/моль.
Значит, в реакцию вступает 10/36,5 ≈ 0,27 моль кислоты.
Атомная масса магния равна 24 гр/моль.
Значит. в реакцию вступает 6/24 = 0,25 моль магния.
Кислота в недостатке, считаем по ней.
Количество вещества водорода вдвое меньше количества вещества кислоты и равно 0,27/2 = 0,135 моль.
Молярный объём равен 22,4 литра.
Значит, объём водорода равен 22,4×0,135 = 3,024 ≈ 3 литра.

ответ: 3 литра.
4,7(66 оценок)
Новые ответы от MOGZ: Химия
logo
Вход Регистрация
Что ты хочешь узнать?
Спроси Mozg
Открыть лучший ответ