М
Молодежь
К
Компьютеры-и-электроника
Д
Дом-и-сад
С
Стиль-и-уход-за-собой
П
Праздники-и-традиции
Т
Транспорт
П
Путешествия
С
Семейная-жизнь
Ф
Философия-и-религия
Б
Без категории
М
Мир-работы
Х
Хобби-и-рукоделие
И
Искусство-и-развлечения
В
Взаимоотношения
З
Здоровье
К
Кулинария-и-гостеприимство
Ф
Финансы-и-бизнес
П
Питомцы-и-животные
О
Образование
О
Образование-и-коммуникации
ffh5
ffh5
16.06.2022 03:48 •  Химия

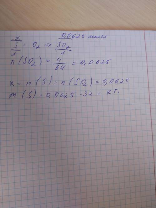
Определите массу серы вступившей в реакцию с кислородом , если образовалось 4 грамма оксида​

👇
Ответ:
танюха12354
танюха12354
16.06.2022

ответ:Нужно взять 2 грамма серы

Объяснение:


Определите массу серы вступившей в реакцию с кислородом , если образовалось 4 грамма оксида​
4,4(83 оценок)
Открыть все ответы
Ответ:
К18атя
К18атя
16.06.2022

Взаємодія з металами, що стоять у ряді напруг лівіше від гідрогену з утворенням солі та виділенням газоподібного водню:

{\displaystyle \mathrm {2Na+2\ HCl\longrightarrow 2\ NaCl+\ H_{2}\uparrow } } {\displaystyle \mathrm {2Na+2\ HCl\longrightarrow 2\ NaCl+\ H_{2}\uparrow } }

{\displaystyle \mathrm {Mg+2\ HCl\longrightarrow \ MgCl_{2}+\ H_{2}\uparrow } } {\displaystyle \mathrm {Mg+2\ HCl\longrightarrow \ MgCl_{2}+\ H_{2}\uparrow } }

{\displaystyle \mathrm {2Al+6\ HCl\longrightarrow 2\ AlCl_{3}+3\ H_{2}\uparrow } } {\displaystyle \mathrm {2Al+6\ HCl\longrightarrow 2\ AlCl_{3}+3\ H_{2}\uparrow } }

Взаємодія з оксидами металів з утворенням розчинної солі і води:

{\displaystyle \mathrm {Na_{2}O+2\ HCl\longrightarrow 2\ NaCl+\ H_{2}O} } {\displaystyle \mathrm {Na_{2}O+2\ HCl\longrightarrow 2\ NaCl+\ H_{2}O} }

{\displaystyle \mathrm {MgO+2\ HCl\longrightarrow \ MgCl_{2}+\ H_{2}O} } {\displaystyle \mathrm {MgO+2\ HCl\longrightarrow \ MgCl_{2}+\ H_{2}O} }

{\displaystyle \mathrm {Al_{2}O_{3}+6\ HCl\longrightarrow 2\ AlCl_{3}+3\ H_{2}O} } {\displaystyle \mathrm {Al_{2}O_{3}+6\ HCl\longrightarrow 2\ AlCl_{3}+3\ H_{2}O} }

Взаємодія з гідроксидами металів з утворенням розчинної солі і води (реакція нейтралізації):

4,5(75 оценок)
Ответ:
murkacomkate
murkacomkate
16.06.2022

Если не углублятся в подробности(а судя по тому что для водяного пара не указаны условия то и не нужно) то всё кроме бензина вещества, бензин - смесь углеводородов.
NaCl и Н2О это химические соединения, то есть вещества, а не смеси. Медная проволока, даже не в идеальном случае, практически чистая медь. Гвоздь, даже если учесть, что обычно делается конечно не из чистого железа, в полном смысле смесью не является, сплав это не смесь, но если не учитывать добавки (а их и в любой стали немного) то это железо, опять же простое вещество.

4,7(40 оценок)
Новые ответы от MOGZ: Химия
logo
Вход Регистрация
Что ты хочешь узнать?
Спроси Mozg
Открыть лучший ответ