М
Молодежь
К
Компьютеры-и-электроника
Д
Дом-и-сад
С
Стиль-и-уход-за-собой
П
Праздники-и-традиции
Т
Транспорт
П
Путешествия
С
Семейная-жизнь
Ф
Философия-и-религия
Б
Без категории
М
Мир-работы
Х
Хобби-и-рукоделие
И
Искусство-и-развлечения
В
Взаимоотношения
З
Здоровье
К
Кулинария-и-гостеприимство
Ф
Финансы-и-бизнес
П
Питомцы-и-животные
О
Образование
О
Образование-и-коммуникации
maratabdullin1p0dtuc
maratabdullin1p0dtuc
11.07.2021 05:43 •  Химия

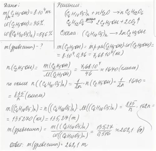
На гидролизному заводе в сутки из древесных отходов добыли этанол массой 80 т с массовой долей спирта 96%. Какую массу древесины использовали, если содержание

👇
Ответ:
Mamaluska
Mamaluska
11.07.2021

На гидролизному заводе в сутки из древесных отходов добыли этанол массой 80 т с массовой долей спирта 96%. Какую массу древесины использовали, если содержание


На гидролизному заводе в сутки из древесных отходов добыли этанол массой 80 т с массовой долей спирт
4,4(84 оценок)
Открыть все ответы
Ответ:
owl42
owl42
11.07.2021
1. 2
2. 3
3. 2
4. 4
5. 1
6. 4
7. 3
8. 1
9. 3
10. 2
11. 2
12. 1
13. 1
14. 3
15. 4
16. 1
17. 1
18. 2
19. 4
20. 
4Al⁰+3O₂⁰ = 2Al₂³⁺O₃²⁻
Al⁰-3e⁻ = Al³⁺     | 4 - восстановитель, процесс окисления
O₂⁰+4e⁻ = 2O²⁻  | 3 - окислитель, процесс восстановления
Al2O3 + 6HCl = 2AlCl3 + 3H2O
AlCl3 + 3NaOH = Al(OH)₃↓+3NaCl
Al³⁺+3Cl⁻+3Na⁺+3OH⁻ = Al(OH)₃↓+ 3Na⁺+3Cl⁻
Al³⁺+3OH⁻ = Al(OH)₃↓
21.
Дано:
m(p-pa Ba(OH)₂) = 50 г
ω(Ва(ОН)₂) = 18% = 0,18
m(BaSO₄) -?
m(Ba(OH)₂) = 50 г*0,18= 9 г
M(Ba(OH)₂)= 171 г/моль
n(Ba(OH)₂) = 9 г/171 г/моль = 0,05263 моль
M(BaSO₄) = 233 г/моль
Вa(OH)₂ + H₂SO₄ = BaSO₄↓ + 2H₂O
из уравнения реакции следует, что
n(BaSO₄)=n(Ba(OH)₂) =0.05263моль
m(BaSO₄) = n(BaSO₄)*M(BaSO₄)
m(BaSO4) = 0,05263 моль*233 г/моль = 12,26 г
ответ: 12,26 г
4,6(99 оценок)
Ответ:
molokomo
molokomo
11.07.2021
1. К простым веществам относится 2) фосфор 
2. Ряд чисел 2,8,5 соответствует распределению электронов по энергетическим уровням атома 3) фосфора 
3. Наиболее ярко неметаллические свойства выражены у 4) С
4. Степень окисления хрома в оксиде CrO3 равна 4) + 6
5. Химическая связь в молекуле брома Br2 3) ковалентная неполярная 
6. Формулы оксида, основания, соли соответственно 1) BaO, Fe(OH)2, NaNO3
7. Уравнение реакции замещения1) Zn + 2HCl = ZnCl2 + H2
8. Коэффициент перед формулой углекислого газа в уравнении реакции горения этана, схема которой 2C2H6 + O2––> CO2 + 6H2O 3) 4 
9. Соль и водород образуются при взаимодействии соляной кислоты с1) металлами (не всеми) 
10. Гидроксид меди(II) реагирует c 2) HNO3
11.Оксид кальция реагирует с 3) HNO3
12. Формула вещества X в схеме превращений FeO ––> X ––> FeCl2   3) Fe 
13. Фенолфталеин изменяет окраску при добавлении к 2) NaOH (р-р ) 
14. К электролитам относится каждое из веществ в ряду 2) CuCl2, HCl, Na2SO4
15. К реакциям ионного обмена относится 3) NaCl + AgNO3 = NaNO3 + AgCl
16. В соответствии с сокращенным ионным уравнением Cu2+ + 2OH– = Cu(OH)2 взаимодействуют электролиты 2) CuCl2 и KOH
17. Массовая доля кислорода в серной кислоте H2SO4 равна приблизительно 3) 65% 
18. Количество водорода, выделившегося при взаимодействии 325 г цинка с соляной кислотой, равно 3) 5 моль 
19. Для приготовления 5%-ного раствора необходимо 2 г сахара растворить в воде, массой 3) 38 г 
Запишите полностью ход решения
20. Напишите уравнения реакций, с которых можно осуществить превращения кальций ––> оксид кальция ––> X ––> хлорид кальция. В первом уравнении расставьте коэффициенты методом электронного баланса, а для последнего запишите полное и сокращенное ионные уравнения.
2Ca + O_2=2CaO
Ca^0-2e^-=Ca^{+2} ·2 восстановитель полуреакция окисления
O_2^0+4e^-=2O^{-2} ·1 окислитель  полуреакция восстановления
CaO+H_2O=Ca(OH)_2
Ca(OH)_2+2HCl=CaCl_2+2H_2O
Ca(OH)_2+2H^++2Cl^-=Ca^{2+}+2Cl^-+2H_2O
Ca(OH)_2+2H^+=Ca^{2+}+2H_2O
21. Определите массу осадка, образовавшегося при взаимодействии 50 г 18%-ного раствора гидроксида бария с серной кислотой.
Ba(OH)_2+H_2SO_4=BaSO_4+2H_2O
1) m[Ba(OH)_2]==50 · 0,18 = 9 г
2) n[Ba(OH)_2]= \frac{m[Ba(OH)_2]}{M[Ba(OH)_2]} = \frac{9}{171} =0,0526 моль
3) По уравнению реакции n(BaSO_4)=n[Ba(OH)_2]=0,0526 моль
4) m(BaSO_4)=n(BaSO_4) . M(BaSO_4)==0,0526 · 233=12,2558 г ≈12,26 г
ответ: 12,26 г
4,6(65 оценок)
Новые ответы от MOGZ: Химия
logo
Вход Регистрация
Что ты хочешь узнать?
Спроси Mozg
Открыть лучший ответ