М
Молодежь
К
Компьютеры-и-электроника
Д
Дом-и-сад
С
Стиль-и-уход-за-собой
П
Праздники-и-традиции
Т
Транспорт
П
Путешествия
С
Семейная-жизнь
Ф
Философия-и-религия
Б
Без категории
М
Мир-работы
Х
Хобби-и-рукоделие
И
Искусство-и-развлечения
В
Взаимоотношения
З
Здоровье
К
Кулинария-и-гостеприимство
Ф
Финансы-и-бизнес
П
Питомцы-и-животные
О
Образование
О
Образование-и-коммуникации
xile4t
xile4t
27.12.2021 12:52 •  Химия

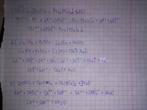
Составьте молекулярные,полные ионные и сокращенные ионные уравнения для следующих реакций(по три строчки для каждой реакции):а) FeCl2+K3PO4(выпадение осадка) b) Li2CO3+H2SO4(образование газа) с) HNO2+Ca(ON)2 (реакция нейтрализации

👇
Ответ:
polikarpova05
polikarpova05
27.12.2021

как-то так

Объяснение:


Составьте молекулярные,полные ионные и сокращенные ионные уравнения для следующих реакций(по три стр
4,7(69 оценок)
Открыть все ответы
Ответ:
forring0
forring0
27.12.2021
Октан (н-октан)
2-Метилгептан
3-Метилгептан (+ имеет оптическую изомерию)
4-Метилгептан
3-Этилгексан
2,2-Диметилгексан
2,3-Диметилгексан (+ имеет оптическую изомерию)
2,4-Диметилгексан (+ имеет оптическую изомерию)
2,5-Диметилгексан
3,3-Диметилгексан 
3,4-Диметилгексан (+ имеет оптическую изомерию (два херальных центра))
2-Метил-3-этилпентан
3-Метил-3-этилпентан
2,2,3-Триметилпентан (+ имеет оптическую изомерию)
2,2,4-Триметилпентан (так же известный как изооктан)
2,3,3-Триметилпентан
2,3,4-Триметилпентан
2,2,3,3-Тетраметилбутан
60 надо , желательно, чтоб решение было на листочке. ! такое: написать все изомеры октана и назвать
4,5(92 оценок)
Ответ:
McBlanse
McBlanse
27.12.2021
Это же так легко!
Всё, что нам нужно - это таблица Менделеева!
И так, у нас есть атом, у которого 4 уровня с электронами. Ищем 4 период. В этом периоде у нас есть 17 атомов. Ищем среди них тот, что подходит по электронам.
Это Калий!
Попробуй сам/а открыть таблицу и посмотреть, почему я так решил.

- - - - - - - - - -

Химические свойства:
Калий является сильным восстановителем.
Энергично взаимодействуют со многими неметаллами:
2K + Сl2 = 2KСl (хлорид калия)
2K + S = K2S (сульфид калия)
2K + Н2 = 2KH (гидрид калия)

Активно взаимодействует с водой:
2K + 2H2O = 2NaOH + K2

Калий растворяется почти во всех кислотах с образованием большого количества солей:
2K + 2НСl = 2KСl + Н2
4,8(91 оценок)
Это интересно:
Новые ответы от MOGZ: Химия
logo
Вход Регистрация
Что ты хочешь узнать?
Спроси Mozg
Открыть лучший ответ