М
Молодежь
К
Компьютеры-и-электроника
Д
Дом-и-сад
С
Стиль-и-уход-за-собой
П
Праздники-и-традиции
Т
Транспорт
П
Путешествия
С
Семейная-жизнь
Ф
Философия-и-религия
Б
Без категории
М
Мир-работы
Х
Хобби-и-рукоделие
И
Искусство-и-развлечения
В
Взаимоотношения
З
Здоровье
К
Кулинария-и-гостеприимство
Ф
Финансы-и-бизнес
П
Питомцы-и-животные
О
Образование
О
Образование-и-коммуникации
arsenandreeev
arsenandreeev
10.06.2021 05:10 •  Химия

HEL

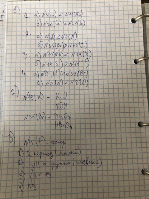
1.Сравнить:1.металлические свойства: а)№3 и №11;б)№20 и №21
2.неметаллические свойства:а)№6 и №7;б)№35 и №53
3.радиус атома:а)№11 и №19;б)№14 и №15
4.электроотрицательность:а)№17 и №35;б)№7 и№8.Объяснить почему.
2.Написать формулы высших оксидов и гидроксидов у элементов №19 и №35
3.Дать характеристику элементам №9 и №15 по плану:1.номер периода(указать какой)
2.номер группы(указать какая подгруппа)
3.атомная масса
4.порядковый номер
5.заряд ядра
6.число протонов,нейтронов,электронов
7.металл или неметалл
8.расписать по энергетическим уровням и написать электронную формулу​

👇
Ответ:
bogdanpavlovi
bogdanpavlovi
10.06.2021

Металлические свойства усиливаются справа налево и сверху вниз в ПСХЭ(периодической системе химических элементов.

Неметаллические свойства усиливаются слева направо и снизу вверх в ПСХЭ.

Радиус атома увеличивается,так же как и усиливаются металлические свойства,т.е. справа налево и сверху вниз

Электроотрицательность увеличивается,так же как и усиливаются неметаллические свойства,т.е. слева направо и снизу вверх.


HEL1.Сравнить:1.металлические свойства: а)№3 и №11;б)№20 и №21 2.неметаллические свойства:а)№6 и №7;
HEL1.Сравнить:1.металлические свойства: а)№3 и №11;б)№20 и №21 2.неметаллические свойства:а)№6 и №7;
4,6(46 оценок)
Открыть все ответы
Ответ:
Женёк2006457
Женёк2006457
10.06.2021
1.Растворяем соли в воде и добавляем, в каждый раствор, лакмус. В растворе ацетата натрия раствор будет синим,в растворе кислоты красным,в растворе глюкозы фиолетовым.
2.Далее несколько капель ацетата вносим в пламя спиртовки, пламя окрасится в жёлтый цвет,что говорит о наличии ионов натрия.
3CH3COONa+FeCl3=(CH3COO)3Fe+3NaCl  (CH3COO)3Fe-красное окрашивание.
3.Качественные реакции на лимонную кислоту.

1.   При прибавлении к раствору цитрата избытка известковой воды на холоду осадка не образуется. При нагревании же выпадает хлопьевидный осадок цитрата калия, при охлаждении (в закрытой колбе) вновь растворяющийся.

2.  Нагревают 5 мл 1%-ного раствора лимонной кислоты с 1 мл реактива Дениже (5 г окиси ртути растворяют в смеси 20 мл концентрированной серной кислоты и 100 мл воды при нагревании до кипения) и прибавляют несколько капель 2%-ного раствора пер-манганата калия. Жидкость обесцвечивается и выпадает белый кристаллический осадок:

Промытый осадок растворяется в растворе хлорида натрия с образованием хлорида ртути и ацетон-дикарбоновой кислоты, которая с хлоридом железа дает малиново-красное окрашивание. 3.    Реакция   образования   пентабромацетона

 К водному раствору лимонной кислоты или цитрата в очень разбавленной серной или азотной кислоте (но не соляной) прибавляют

2-5 капель 0,1 н. раствора перманганата калия и нагревают в течение непродолжительного времени до 30-40° (только не кипятить!). Как только раствор побуреет или помутнеет от незначительного выделения двуокиси марганца, прибавляют 1-2 капли раствора ок-салата аммония и 1 мл 10%-ной серной кислоты, при этом жидкость становится прозрачной. Затем прибавляют несколько капель бромной воды. При этом выделяется кристаллический осадок пента-бромацетона.1

4.Глюкоза даёт синее окрашивание с свежеприготовленным Сu(OH)2. Даёт реакцию серебрянного зеркала с Ag(NH3)2OH/

4,4(96 оценок)
Ответ:
elenchik2006
elenchik2006
10.06.2021
Вода — одно из самых распространенных соединений на Земле. Она есть не только в реках и морях; во всех живых организмах тоже присутствует вода. Без нее невозможна жизнь. Вода — хороший растворитель (в ней легко растворяются разные вещества). Кровь животных и сок растений состоят преимущественно из воды. Вода существует вечно; она постоянно переходит из почвы в атмосферу и организмы и обратно. Более 70% земной поверхности покрыто водой. Есть у воды одно важное свойство: она может легко растворять в себе многие вещества: твердые вещества, жидкости и газы. Поэтому в природе редко встречается чистая вода. Именно растворенный в воде кислород обеспечивает жизнь водных организмов. А сероводород, образующийся при разложении остатков организмов, делает водоем безжизненным, как, например, в глубинах Черного моря.
4,7(47 оценок)
Это интересно:
Новые ответы от MOGZ: Химия
logo
Вход Регистрация
Что ты хочешь узнать?
Спроси Mozg
Открыть лучший ответ