М
Молодежь
К
Компьютеры-и-электроника
Д
Дом-и-сад
С
Стиль-и-уход-за-собой
П
Праздники-и-традиции
Т
Транспорт
П
Путешествия
С
Семейная-жизнь
Ф
Философия-и-религия
Б
Без категории
М
Мир-работы
Х
Хобби-и-рукоделие
И
Искусство-и-развлечения
В
Взаимоотношения
З
Здоровье
К
Кулинария-и-гостеприимство
Ф
Финансы-и-бизнес
П
Питомцы-и-животные
О
Образование
О
Образование-и-коммуникации
Cyndyma
Cyndyma
22.05.2023 03:58 •  Химия

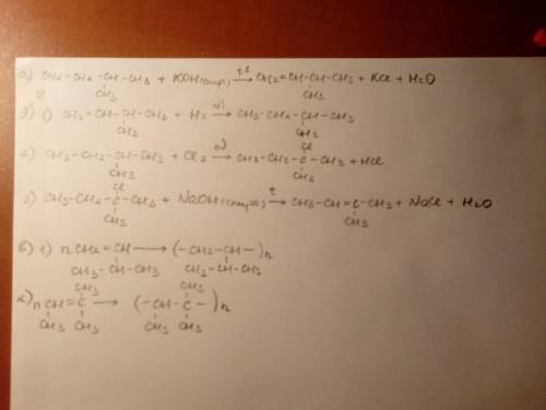
Получите 3-метил-1-бутен любым и напишите реакции перехода от него к 2-метил-2-бутену. подвергните полимеризации эти два алкена

👇
Ответ:
lubov9
lubov9
22.05.2023

Объяснение:

Получите 3-метил-1-бутен любым и напишите реакции перехода от него к 2-метил-2-бутену. Подвергните полимеризации эти два алкена


Получите 3-метил-1-бутен любым и напишите реакции перехода от него к 2-метил-2-бутену. подвергните п
4,4(89 оценок)
Открыть все ответы
Ответ:
22.05.2023
А) взаимодействуют, т.к образуется газ - углекислый и вода
2H3PO4 + 3K2CO3 = 2K3PO4 + 3Н2О + 3CO2↑  
6H⁺+2PO4³⁻ + 6K⁺+3CO3²⁻ = 6K⁺+2PO4³⁻ + 3Н2О + 3CO2↑ 
6H⁺+3CO3²⁻ =  3Н2О + 3CO2↑ взаимодействие происходит между гидроген-ионом и карбонат-ионом
б) взаимодействуют, т.к образуется осадок, т.е нерастворимое вещество гидроксид свинца
Pb(NO3)2 + 2KOH  = 2KNO3+ Pb(OH)2↓
Pb²⁺+2NO3⁻ + 2K⁺+2OH⁻ = 2K⁺+2NO3⁻+ Pb(OH)2↓
Pb²⁺+2OH⁻ =  Pb(OH)2↓
 г) взаимодействуют, т.к образуется малодиссоциирующее вещество - вода
2HNO3 + Ca(OH)2 = Ca(NO3)2 + H2О
2H⁺+2NO3⁻ + Ca²⁺+2OH⁻ = Ca²⁺+2NO3⁻ + H2О
2H⁺+2OH⁻ =  H2О
4,6(51 оценок)
Ответ:
rrrf1
rrrf1
22.05.2023
1. Хром проявляет переменную степень окисления:      
Cr⁰⇒Cr⁺² ⇒Cr⁺³⇒Cr⁺⁴⇒Cr⁺⁶

K₂CrO₇ - нет такого соединения, а есть K₂Cr₂O₇
K₂⁺Cr₂⁺⁶O₇⁻²  - у хрома в этом соединении  высшая степень окисления +6

Cr₂O₇ - ТАКОГО СОЕДИНЕНИЯ ХРОМА НЕТ ЕСТЬ Cr₂O₃  или CrO₃
Cr₂⁺³O₃⁻² - в этом соединении хром имеет  степень окисления +3
Cr⁺⁶O₃⁻²  -в этом соединении хром проявляет степень окисления +6

2. O₂ - кислород проявляет ст. окисления 0
3. Сера проявляет  переменную степень окисления:
 S⁻² ⇒S⁰ ⇒S⁺⁴ ⇒S⁺⁶
H₂⁺S⁻² - в этом соединении сера проявляет степень окисления -2.
S⁺⁴O₂⁻² - в этом соединении сера проявляет степень окисления +4.
 S⁰ - сера проявляет степень окисления 0.

3. H₂⁺O⁻² - в этом соединении водород проявляет ст. окисления +1, а кислород -2.
4,8(65 оценок)
logo
Вход Регистрация
Что ты хочешь узнать?
Спроси Mozg
Открыть лучший ответ