М
Молодежь
К
Компьютеры-и-электроника
Д
Дом-и-сад
С
Стиль-и-уход-за-собой
П
Праздники-и-традиции
Т
Транспорт
П
Путешествия
С
Семейная-жизнь
Ф
Философия-и-религия
Б
Без категории
М
Мир-работы
Х
Хобби-и-рукоделие
И
Искусство-и-развлечения
В
Взаимоотношения
З
Здоровье
К
Кулинария-и-гостеприимство
Ф
Финансы-и-бизнес
П
Питомцы-и-животные
О
Образование
О
Образование-и-коммуникации
mssalina5
mssalina5
18.02.2021 07:55 •  Химия

1. установите массовую долю азота в соли нитрат калия (kno3) 2. какое количество моль находится в 12 граммах оксида бария. 3. если в воздушном шарике 10 моль водорода, то какая масса и какой объем у этого шарика? (картинка)

👇
Ответ:
89086443040
89086443040
18.02.2021

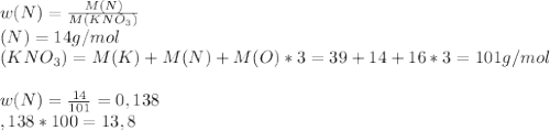
1) W(N)=0,138 или 13,8%; 2) Количество(Ню)(BaO)=0,078 моль; 3) V(H2)=224 л, m(H2)=20 г

Объяснение:

№1

w(N)=\frac{M(N)}{M(KNO_3)} \\\M(N)=14 g/mol\\\M(KNO_3)=M(K)+M(N)+M(O)*3=39+14+16*3=101 g/mol\\\\w(N)=\frac{14}{101} =0,138\\\0,138*100=13,8

№2

mol=\frac{m(BaO)}{M(BaO)}

M(BaO)=M(Ba)+M(O)=137g/mol+16g/mol=153g/mol\\\\mol(BaO)=\frac{12g}{153g/mol} =0,078mol

№3

Vm(стандартный молярный объем)=22,4 Л/моль

V=Vm*mol=22,4L/mol*10mol=224L\\m=M(H_2)*mol\\M(H_2)=M(H)*2=1g/mol*2=2g/mol\\m=2g/mol*10mol=20g

4,6(86 оценок)
Открыть все ответы
Ответ:
bogdannar2013
bogdannar2013
18.02.2021


1) СaO + CO2 = CaCO3

2) СаО - основной оксид

   СО2 - кислотный оксид

   СаСО3 - средняя соль

3)    Х г                       Х л                     1,2 моль

        СаО       +        СО2      =             СаСО3

 n = 1 моль          n = 1 моль                  n = 1 моль

Mr = 56 г/моль     Vm=22,4 л/моль       

m = 56 г                V = 22,4 л

Х г СаО    -    1,2 моль СаСО3

56 г СаО   -   1 моль СаСО3

m(CaO) = 56 * 1,2 / 1 = 67,2 г

Х л СО2  -   1,2 моль СаСО3

22,4 л СО2  -  1 моль СаСО3

V(CO2) = 22,4 * 1,2 / 1 = 26,88 л

4,6(68 оценок)
Ответ:
Катя709015
Катя709015
18.02.2021
1.горение
C4H6 + 6,5O2 = 4CO2 + 3 H2O 
2) разложение при нагревании: 
C4H6 = 4C + 3H2 
3)Присоединение в 2 стадии: 
а) гидрирование 
C4H6 + H2 (Pd/Pb) =  CH2=CH-CH2-CH3 
CH2=CH-CH2-CH3 + H2 (Ni)  = CH3-CH2-CH2-CH3 
б) гидрогалогенирование 
C4H6+ НCl  =  CH2=CCl-CH2-CH3 
в) галогенирование 
C4H6 + Cl2 = CHCl=CCl-CH2-CH3 
г) гидратация (реакция Кучерова) 
C4H6 + H2O (t, H+, Hg+) = CH3-C=O-CH2-CH3. 
4)Замещение 
а) 2C4Р6 + Na (t) = 2С4H5Na + H2

б) C4H6+Ag20(аммиачный раствор) =C4H5Ag
Получение:
СН3-CHBr-CHBr-CH3 + 2KOH = C4H6+2KBr+2H2O

газ, плохо растворим в воде, но растворим в растворителях)
4,4(39 оценок)
Это интересно:
Новые ответы от MOGZ: Химия
logo
Вход Регистрация
Что ты хочешь узнать?
Спроси Mozg
Открыть лучший ответ