М
Молодежь
К
Компьютеры-и-электроника
Д
Дом-и-сад
С
Стиль-и-уход-за-собой
П
Праздники-и-традиции
Т
Транспорт
П
Путешествия
С
Семейная-жизнь
Ф
Философия-и-религия
Б
Без категории
М
Мир-работы
Х
Хобби-и-рукоделие
И
Искусство-и-развлечения
В
Взаимоотношения
З
Здоровье
К
Кулинария-и-гостеприимство
Ф
Финансы-и-бизнес
П
Питомцы-и-животные
О
Образование
О
Образование-и-коммуникации
Perevezii
Perevezii
21.02.2020 11:28 •  Химия

хімія. до завтра нада здать.


хімія. до завтра нада здать.​

👇
Ответ:
H3RURG
H3RURG
21.02.2020

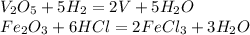
V_{2}O_{5}+5H_{2}=2V+5H_{2}O\\ Fe_{2}O_{3}+6HCl=2FeCl_{3}+3H_{2}O

Объяснение: Я не впевнена, але поідеї повино бути так...

4,5(47 оценок)
Открыть все ответы
Ответ:
Annakitte0
Annakitte0
21.02.2020
Волк, или серый волк, или обыкновенный волк[1] (лат. Canis lupus) — вид хищных млекопитающих из семейства псовых (Canidae). Наряду с койотом (Canis latrans) и шакалом (Canis aureus) составляет небольшой род волков (Canis). Кроме того, как показывают результаты изучения последовательности ДНК и дрейфа генов, является прямым предком домашней собаки, которая обычно рассматривается как подвид волка (Canis lupus familiaris). Волк — один из самых крупных современных животных в своём семействе: длина его тела (без учёта хвоста) может достигать 160 см, длина хвоста — до 52 см, высота в холке — до 90 см; масса тела может доходить до 80 кг.

Когда-то волк имел гораздо большее распространение в Евразии и Северной Америке. В наше время его ареал и общая численность животных заметно уменьшились, главным образом в результате человеческой деятельности: изменения природных ландшафтов, урбанизации и массового истребления. Во многих регионах мира волк находится на грани полного исчезновения, хотя на севере Евразии и Америки его популяция всё ещё остаётся стабильной. Несмотря на то, что популяция волков продолжает уменьшаться, он до сих пор во многих местах является объектом охоты как представляющий потенциальную опасность для человека и домашнего скота, либо ради развлечения.

В качестве одного из ключевых хищников волки играют очень важную роль в балансе экосистем таких биомов, как леса умеренных широт, тайга, тундра, степи и горные системы. Всего выделяют примерно 32 подвида волка, различающихся размерами и оттенками меха. На территории Российской Федерации чаще всего встречаются обыкновенный (C.l.lupus) и тундровый (C.l.albus) волки.
4,6(41 оценок)
Ответ:
elenchik2006
elenchik2006
21.02.2020
Вода — одно из самых распространенных соединений на Земле. Она есть не только в реках и морях; во всех живых организмах тоже присутствует вода. Без нее невозможна жизнь. Вода — хороший растворитель (в ней легко растворяются разные вещества). Кровь животных и сок растений состоят преимущественно из воды. Вода существует вечно; она постоянно переходит из почвы в атмосферу и организмы и обратно. Более 70% земной поверхности покрыто водой. Есть у воды одно важное свойство: она может легко растворять в себе многие вещества: твердые вещества, жидкости и газы. Поэтому в природе редко встречается чистая вода. Именно растворенный в воде кислород обеспечивает жизнь водных организмов. А сероводород, образующийся при разложении остатков организмов, делает водоем безжизненным, как, например, в глубинах Черного моря.
4,7(47 оценок)
Это интересно:
Новые ответы от MOGZ: Химия
logo
Вход Регистрация
Что ты хочешь узнать?
Спроси Mozg
Открыть лучший ответ