М
Молодежь
К
Компьютеры-и-электроника
Д
Дом-и-сад
С
Стиль-и-уход-за-собой
П
Праздники-и-традиции
Т
Транспорт
П
Путешествия
С
Семейная-жизнь
Ф
Философия-и-религия
Б
Без категории
М
Мир-работы
Х
Хобби-и-рукоделие
И
Искусство-и-развлечения
В
Взаимоотношения
З
Здоровье
К
Кулинария-и-гостеприимство
Ф
Финансы-и-бизнес
П
Питомцы-и-животные
О
Образование
О
Образование-и-коммуникации
alecsandrkozevn
alecsandrkozevn
25.06.2020 07:08 •  Химия

как необходимо изменить температуру химической реакции для чтобы уменьшить ее скорость в 50 раз,если известно что температурный коэффициент реакции равен 4

👇
Ответ:
AnjelikaM1
AnjelikaM1
25.06.2020

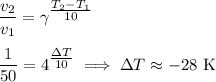
По эмпирическому правилу Вант-Гоффа

\dfrac{v_2}{v_1}=\gamma^{\tfrac{T_2-T_1}{10}}\medskip\\\dfrac{1}{50}=4^{\tfrac{\Delta T}{10}}\implies \Delta T \approx -28~\mathrm{K}

Значит, необходимо понизить температуру на приблизительно 28 градусов

4,7(38 оценок)
Открыть все ответы
Ответ:
Vladik384
Vladik384
25.06.2020

Дано:

m(Na₂CO₃)=212г.

Vm=22,4л./моль

V(газа)-?

1.Определим молярную массу карбоната натрия и его количество вещества в 212г.:  

M(Na₂CO₃)=23x2+12+16x3=46+12+48=106г./моль


n(Na₂CO₃)=212г.÷106г./моль=2моль


2. Запишем уравнение реакции:

Na₂CO₃ + 2HCI = 2NaCI + CO₂ + H₂O

3. Анализируем уравнение реакции: по уравнению реакции из 1моль карбоната натрия образуется 1моль оксида углерода(IV).

4.  Поусловию задачи: 2моль карбоната натрия, значит и оксида углерода(IV)  образуется 2моль.

n(CO₂)=2моль


5.Определим объем оксида углерода(IV) количеством вещества 2моль  :


V(CO₂)=n(CO₂)xVm=2мольx22,4л./моль=44,8л.


6. ответ: при взаимодействии карбоната натрия с соляной кислотой образуется 44,8л оксида углерода(IV).

4,6(84 оценок)
Ответ:
EnotGermany
EnotGermany
25.06.2020
Решение:
№1
1) C₄H₉COOH - валериановая кислота (пентановая), класс кислоты
2) CH₃-CH₂-CH₂-CH₂-COH - пентаналь, класс альдегиды
3) CH₃-CH₂-CO-CH₃ - бутанон-2, класс кетоны

№2
CH₃-CH₂-CH₂-CO-CH₂-CH₂-CH₃
Изомеры:
а) изомерия углеродного скелета
CH₃-CH-CO-CH₂-CH₂-CH₃
        |
       CH₃
Это вещество 2-метилгексанон-3
б) изомерия положения карбонильной группы
CH₃-CO-CH₂-CH₂-CH₂-CH₂-CH₃
Это вещество гептанон-2
в) межклассовая изомерия
CH₃-CH₂-CH₂-CH₂-CH₂-CH₂-COH
Это вещество гептаналь
Гомологи:
а) CH₃-CH₂-CH₂-CO-CH₂-CH₂-CH₂-CH₃
Это вещество октанон-4
б) CH₃-CH₂-CH₂-CO-CH₂-CH₂-CH₂-CH₂-CH₂-CH₃
Это вещество деканон-4
4,7(66 оценок)
Новые ответы от MOGZ: Химия
logo
Вход Регистрация
Что ты хочешь узнать?
Спроси Mozg
Открыть лучший ответ