М
Молодежь
К
Компьютеры-и-электроника
Д
Дом-и-сад
С
Стиль-и-уход-за-собой
П
Праздники-и-традиции
Т
Транспорт
П
Путешествия
С
Семейная-жизнь
Ф
Философия-и-религия
Б
Без категории
М
Мир-работы
Х
Хобби-и-рукоделие
И
Искусство-и-развлечения
В
Взаимоотношения
З
Здоровье
К
Кулинария-и-гостеприимство
Ф
Финансы-и-бизнес
П
Питомцы-и-животные
О
Образование
О
Образование-и-коммуникации
Анастасия31052006
Анастасия31052006
22.02.2023 13:42 •  Химия

К40 г раствора, содержащего 5% сульфата меди (ii), добавили гидроксид натрия. вычислите массу образовавшегося осадка.

👇
Ответ:
dbd2
dbd2
22.02.2023

1,,составляем уравнение образования

осадка

CuSO4+2NaOH=Cu (OH)2+Na2SO4

осадок Cu (OH)2

2.находим сульфат меди (II) в растворе:

m(CuSO4в-ва)= m (p-pa)*w/100%=20*5/100=1г

З, находим количество сульфата меди:

n( CuSO4)=m (CuSO4)/M (CuSO4)=1г/160г/

моль=0,00625 моль

4, n( CuSO4)=n (Cu (OH)2)

5. находим массу осадка

m (Cu (OH)2)=n (Cu (OH)2)*M (Cu

(OH)2)=0,00625моль*98г/моль=0,6125г

ответ:m (Cu (OH)2)= 0,6125г

4,6(30 оценок)
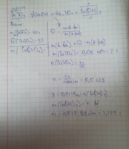
Ответ:
Аропахора
Аропахора
22.02.2023

m(Cu(OH)2)=1,225г

Надеюсь все понятно)


К40 г раствора, содержащего 5% сульфата меди (ii), добавили гидроксид натрия. вычислите массу образо
4,4(19 оценок)
Открыть все ответы
Ответ:
Stultus
Stultus
22.02.2023

карбонат калия + азотная кислота -> нитрат калия + вода + оксид углерода(4)

K2CO3 + 2HNO3 -> 2KNO3 + H2O + CO2⬆️

магний + соляная кислота -> хлорид магния + водород

Mg + 2HCI -> MgCl2 + H2⬆️

медь + серная кислота(конц.) -> сульфат меди(2) + оксид серы(4) + вода

Cu + 2H2SO4 -> CuSO4 + SO2 + 2H2O

оксид меди(2) + серная кислота -> сульфат меди(2) + вода

CuO + H2SO4 -> CuSO4 + H2O

азотная кислота + оксид углерода (4) -×->

сульфат натрия + соляная кислота -×->

гидроксид бария + фосфорная кислота -> фосфат бария + вода

3Ba(OH)2 + 2H3PO4 -> Ba3(PO4)2⬇️ + 6H2O

цинк + фосфорная кислота -> фосфат цинка + водород

3Zn + 2H3PO4 -> Zn3(PO4)2⬇️ + 3H2⬆️

силикат калия + серная кислота -> сульфат калия + кремниевая кислота

K2SiO3 + H2SO4 -> K2SO4 + H2SiO3⬇️

оксид серы (4) + соляная кислота -×->

оксид цинка + азотная кислота -> нитрат цинка + вода

ZnO + 2HNO3 -> Zn(NO3)2 + H2O

гидроксид хрома (3) + серная кислота -> сульфат хрома(3) + вода

2Cr(OH)3 + 3H2SO4 -> Cr2(SO4)3 + 6H2O

ртуть + серная кислота(конц.) -> сульфат ртути + оксид серы(4) + вода

Hg + 2H2SO4 -> HgSO4 + SO2 + 2H2O

нитрат железа (3) + соляная кислота -×->

оксид серебра + азотная кислота -> нитрат серебра + вода

Ag2O + 2HNO3 -> 2AgNO3 + H2O

алюминий + соляная кислота -> хлорид алюминия + водород

2AI + 6HCI -> 2AICI3 + 3H2⬆️

сульфид калия + соляная кислота -> хлорид калия + сероводород

K2S + 2HCI -> 2KCI + H2S⬆️

серебро + соляная кислота -×->

нитрат железа(3) + HCl -×->

кремниевая кислота + гидроксид калия -> силикат калия + вода

H2SiO3 + 2KOH -> K2SiO3 + 2H2O

оксид хрома(6) + серная кислота -×->

4,5(71 оценок)
Ответ:
владимир182
владимир182
22.02.2023
Соединения натрия, калия в природе, их применение.Находятся в природе только в виде соединений. Натрий — каменная соль NaCl, сильвинит NaCl ∙ KCl,  глауберова соль Na 2SO 4 ∙10H2O, натриевая селитра NaNO3, в морской воде.Калий – сильвинит NaCl∙KCl,  карналлит KCl∙MgCl2∙6H2O, ортоклаз K2O∙Al2O3∙6SiO2Калийные удобрения. Природные вещества и продукты их переработки- сильвинит, хлорид и сульфат калия, калийная селитра KNO3, поташ K2CO3 в золе при сжигании растений.Щелочные металлы и их соединения – важнейшие компоненты различных химических производств. Они используются в металлотермическом производстве различных металлов, таких как Ti, Zr, Nb, Ta. Соединения натрия и калия находят применение в мыловарении (Na2CO3), производстве стекла (Na2CO3, K2CO3, Na2SO4, Li2O), используются для отбелки и дезинфекции (Na2O2), в качестве удобрений (KCl, KNO3). Из поваренной соли получают многие важные химические соединения: Na2CO3, NaOH, Cl2.Калий улучшает водный режим растений обмену веществ и образованию углеводов, повышает морозо- и засухоустойчивость. Содержание калия выражается в пересчете на К2О. Стандартным считается удобрение, содержащее 41,6% К2О. Важнейшими калийными удобрениями являются хлорид и сульфат калия. Хлорид калия содержит 50-60% К2О и его получают из минералов, используя его особую растворимость. Сульфат калия содержит 45-52% К2О и получается следующим образом:2KCl + 2MgSO4 → K2SO4·MgSO4 + MgCl2K2SO4·MgSO4 + 2KCl → 2K2SO4 + MgCl2
4,6(1 оценок)
Это интересно:
Новые ответы от MOGZ: Химия
logo
Вход Регистрация
Что ты хочешь узнать?
Спроси Mozg
Открыть лучший ответ