М
Молодежь
К
Компьютеры-и-электроника
Д
Дом-и-сад
С
Стиль-и-уход-за-собой
П
Праздники-и-традиции
Т
Транспорт
П
Путешествия
С
Семейная-жизнь
Ф
Философия-и-религия
Б
Без категории
М
Мир-работы
Х
Хобби-и-рукоделие
И
Искусство-и-развлечения
В
Взаимоотношения
З
Здоровье
К
Кулинария-и-гостеприимство
Ф
Финансы-и-бизнес
П
Питомцы-и-животные
О
Образование
О
Образование-и-коммуникации
ykub321
ykub321
21.09.2022 03:11 •  Химия

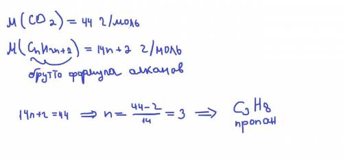
Определите формулу алкана, молекулярная масса которого равна молекулярной массе СО2

👇
Ответ:
мангл003
мангл003
21.09.2022

ответ прикреплён во вложении.


Определите формулу алкана, молекулярная масса которого равна молекулярной массе СО2
4,8(80 оценок)
Открыть все ответы
Ответ:
dashagokova20000000
dashagokova20000000
21.09.2022
1) Уравнения реакций выглядит так(в скобках степени окисления):
S(2-)-2e = S(0),
Cr2O7(2-)+14H(1+) +6e=2Cr(3+) + 7H2O. Т. о. коэффицент для серы 3.
Полное уравнение:
3H2S+K2Cr2O7+4H2SO4 = 3S+Cr2(SO4)3+K2SO4+7H2O
2) 2KMnO4 + H2SO4 + 5K2SO3 = 6K2SO4 + MnSO4 + H2O
Mn+7 + 5e = Mn+2 |2|
S+4 - 2e = S+6 |5|
3)Расстановка коэффициентов методом электронного баланса без их кратного увеличения:
K2S + 4HNO3 = 2KNO3 + S + 2NO2 + 2H2O
S(-2) - 2e = S(0) | 1 Ищем наименьшее общее кратное для "2e" и "1e".
N(+5) + 1e = N(+4) | 2 Для S(0) после реакции коэффициентов. =1, для N(+4) в NO2 коэффициентов. =2. Выставляем коэффициенты, уравниваем.
4)3H2SO3 + HClO3 = 3H2SO4 + HCl
электронный баланс:
S(+4) - 2e = S(+6)x3 окисление, восстановитель
Cl(+5) + 6e = Cl(-1)---!x1 восстановление, окислитель
4,5(98 оценок)
Ответ:
nastyamashkanc
nastyamashkanc
21.09.2022
1) Восстановление кремния из его оксида коксом в электрических печах: 
SiO2 + 2C = 2CO↑ + Si 
Можно также восстановить алюминием, магнием или цинком - также при высоких температурах: 
SiО2 + 2Zn = Si + 2ZnО 
2) Взаимодействие кремния с магнием - при высокой температуре: 
2Mg + Si = Mg2Si 
3) Гидролиз силицида магния (идёт до конца, т. к. это соль 2 слабых электролитов) : 
Mg2Si + 4H2O = 2Mg(OH)2 + SiH4 (гидроксид магния выпадает в осадок - стрелочка вниз, а силан выделяется в виде газа - стрелочка вверх) 
4) Горение силана: 
SiH4 + 2O2 = SiO2 + 2H2O 
4,5(10 оценок)
Это интересно:
Новые ответы от MOGZ: Химия
Полный доступ к MOGZ
Живи умнее Безлимитный доступ к MOGZ Оформи подписку
logo
Вход Регистрация
Что ты хочешь узнать?
Спроси Mozg
Открыть лучший ответ