М
Молодежь
К
Компьютеры-и-электроника
Д
Дом-и-сад
С
Стиль-и-уход-за-собой
П
Праздники-и-традиции
Т
Транспорт
П
Путешествия
С
Семейная-жизнь
Ф
Философия-и-религия
Б
Без категории
М
Мир-работы
Х
Хобби-и-рукоделие
И
Искусство-и-развлечения
В
Взаимоотношения
З
Здоровье
К
Кулинария-и-гостеприимство
Ф
Финансы-и-бизнес
П
Питомцы-и-животные
О
Образование
О
Образование-и-коммуникации
лера2127
лера2127
23.01.2021 06:23 •  Химия

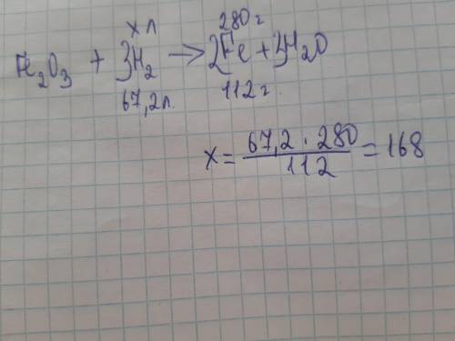
Найти объем водорода необходимый для получения 280 г железа из его оксида

👇
Ответ:
MihailBobr
MihailBobr
23.01.2021

H2=168л

.

...........

...


Найти объем водорода необходимый для получения 280 г железа из его оксида
4,4(14 оценок)
Открыть все ответы
Ответ:
kbvovap0drsr
kbvovap0drsr
23.01.2021

Дано:nm (Fe2O3) = 16 гnω вых. (Fe) = 90%nnНайти:nm пр. (Fe) - ?nnРешение:n1) Написать уравнение реакции:n2Al + Fe2O3 => Al2O3 + 2Fenn2) Найти количество вещества Fe2O3:nn (Fe2O3) = m (Fe2O3) / Mr (Fe2O3) = 16 / 160 = 0,1 моль;nn3) Найти количество вещества Fe (учитывая уравнение реакции):nn (Fe) = n (Fe2O3) * 2 = 0,1 * 2 = 0,2 моль;nn4) Найти теоретическую массу Fe:nm теор. (Fe) = n (Fe) * Mr (Fe) = 0,2 * 56 = 11,2 г;nn5) Найти практическую массу Fe:nm пр. (Fe) = m теор. (Fe) * ω вых. (Fe) / 100% = 11,2 * 90% / 100% = 10,08 г.nnответ: Масса образовавшего Fe составит 10,08 г.n

Объяснение:

держи

4,5(6 оценок)
Ответ:
ULYAVALEREVNA
ULYAVALEREVNA
23.01.2021

Объяснение:кислые соли  — это  соли, содержащие два вида  катионов: катион металла (или  аммония) и катион водорода, и многозарядный  анион  кислотного остатка. катион водорода даёт к названию соли приставку «гидро», например,  гидрокарбонат натрия.

кислые соли сильных кислот (гидросульфаты, дигидрофосфаты) при гидролизе кислую реакцию среды (с чем и связано их название). в то же время растворы кислых солей слабых кислот (гидрокарбонаты,  тартраты) могут обладать нейтральной или щелочной реакцией среды.

кислые соли диссоциируют на ионы металла и кислотный остаток, включающий частицу водорода

4,6(39 оценок)
Это интересно:
Новые ответы от MOGZ: Химия
logo
Вход Регистрация
Что ты хочешь узнать?
Спроси Mozg
Открыть лучший ответ