
Дано:
m(Ca) = 24г
V(H2O) = 300 мл
Найти: ω(CaOH)2
Запишем уравнение реакции:
Ca + 2H2O = Ca(OH)2 + H2
Теперь находим количество вещества кальция:
∨(Ca) = 24 грамма / 40 г/моль = 0,6 моль
Теперь смотрим на уравнение реакции. Мы видим, что кол-во вещества кальция равно кол-ву вещества гидроксида, соответственно, ∨(Ca(OH)2) = 0.6 моль
Находим массу гидроксида кальция:
m(Ca(OH)2) = 0,6 моль * 74 г/моль = 44,4 грамма
Находим массовую долю гидроксида в растворе:
ω(Ca(OH)2) = 44,4 г / 324 г * 100% = 13,7%
ответ: 13,7%
Дано:
m(р-ра Ca(OH)2) = 24 г
V(Н2О) = 300 мл
найти: w(р-ра Ca(OH)2)
найдем массу образовавшегося гидроксида кальция:
24 г х г
Ca + 2H2O = Ca(OH)2 + H2
40 г 74 г
24 г х г
40 г --- 74 г
х = 24 г∙ 74 г\40 г = 44,4 г
Найдем массу раствора:
m (р-ра Ca(OH)2) = ρ ∙ V = 300 мл ∙ 1 г\мл = 300 г
m(р-ра Ca(OH)2) = m(Ca(OH)2)+ m(Н2О) = 300 г + 44,4 г = 344,4 г
вычислим массовую долю Ca(OH)2 в растворе:
w(р-ра Ca(OH)2) = m(р.в.) ∙ 100%\ m(р-ра)
w(р-ра Ca(OH)2) = 44,4 ∙ 100%\ 344,4 г = 12,9 %
ответ: w(р-ра Ca(OH)2) = 13%
Объяснение:
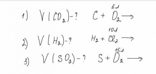
1) 5 л Х л
C + O2 = CO2
n=1 моль n=1 моль
Vm=22,4 л/моль Vm=22,4 л/моль
V = 22,4 л V = 22,4 л
5 л О2 - Х л СО2
22,4 л О2 - 22,4 л СО2
V(CO2) = 5 * 22,4 / 22,4 = 5 л
Х л 10 л
2) H2 + Cl2 = 2HCl
n=1 моль n=1 моль
Vm=22,4 л/моль Vm=22,4 л/моль
V = 22,4 л V = 22,4 л
Х л Н2 - 10 л Cl2
22,4 л Н2 - 22,4 л Cl2
V(H2) = 22,4 * 10 / 22,4 = 10 л
15 л Х л
3) S + O2 = SO2
n=1 моль n=1 моль
Vm=22,4 л/моль Vm=22,4 л/моль
V = 22,4 л V = 22,4 л
15 л О2 - Х л SO2
22,4 л О2 - 22,4 л SO2
V(SO2) = 15 * 22,4 / 22,4 = 15 л