М
Молодежь
К
Компьютеры-и-электроника
Д
Дом-и-сад
С
Стиль-и-уход-за-собой
П
Праздники-и-традиции
Т
Транспорт
П
Путешествия
С
Семейная-жизнь
Ф
Философия-и-религия
Б
Без категории
М
Мир-работы
Х
Хобби-и-рукоделие
И
Искусство-и-развлечения
В
Взаимоотношения
З
Здоровье
К
Кулинария-и-гостеприимство
Ф
Финансы-и-бизнес
П
Питомцы-и-животные
О
Образование
О
Образование-и-коммуникации
Kisa2Mary
Kisa2Mary
01.04.2021 05:09 •  Химия

ಥ‿ಥ
отдам все свои последние (╥﹏╥)​

👇
Ответ:
Adamant0813
Adamant0813
01.04.2021

6Fe + 4O2= 2Fe3O4 n (ню-кол-во вещ-ва)= m:M 1) n(Fe)= 112г : 56 г\моль=2 моль Обозначим n(O2) за X, тогда Х= 2моль *4 моль: 6 моль= 1, 333 моль n(O2)= 1,333 V= n* Vm 2) v(O2)= 1,333* 22,4=29,859

Объяснение:

4,6(61 оценок)
Ответ:
mschibarova201
mschibarova201
01.04.2021

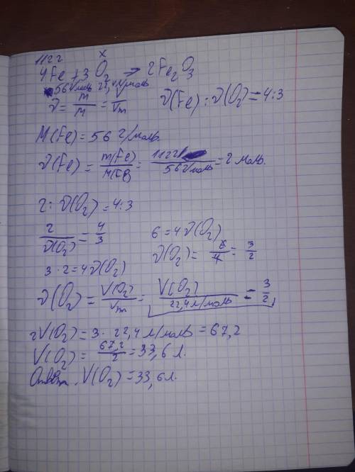
Всё на фотографии


ಥ‿ಥотдам все свои последние (╥﹏╥)​
4,5(50 оценок)
Открыть все ответы
Ответ:
Nargiza02005
Nargiza02005
01.04.2021
Дано:                              Решение
m(Fe)=140 гр                1)n(Fe)=140/56=2.5 моль
Найти                     2) Fe2O3 + 2AL -> 2Fe+ AL2O3      
m(Al)=?                  3)    по реакции 2n(Fe)=2n(Al)=2.5 моль
m(Fe2O3)=?                                  2n(Fe)=n(Fe2O3)=2.5/2=1.25 моль
                        4) находим массу Al и Fe2O3  Mr(Al)= 27 гр                                                                                                      Mr(Fe2O3)=56*2+16*3=160 гр
                                 m(Al)=n*Mr=2.5*27=67.5 гр
                                 m(Fe2O3)=1.25*160=200 гр
4,4(69 оценок)
Ответ:
sалаьы
sалаьы
01.04.2021
Плотность фосфина 1,55 г./см^3 или 1.55 кг./литр. Вычислим массу фосфина из условия: 70 * 1,55 = 108,5 кг фосфина.
Далее вычислим его молярную массу и количество в молях: 33 г./моль,
108500 / 33 = 3288 моль( приближенное значение)
реакция водорода с фосфором с дальнейшим образованием фосфина выглядит так:
2P + 3H2 = 2PH3 
Значит, что на каждые 2 моли фосфина нужно 2 моли фосфора и 3 моли H2.
Молярная масса фосфора 30 г./моль, водорода - 2 г./моль.
нужно взять 3288 моль фосфора и 4932 моль водорода.
Получаем: 30 г./моль * 3288 моль = 98640 г. или 98.64 кг. фосфора,
1 моль водорода ( как и любого газа в н.у.) занимает объем в 22,4 литра,
значит: 22,4 л. * 4932 моль = 110476.8 литров.
Все)
4,5(59 оценок)
Это интересно:
Новые ответы от MOGZ: Химия
logo
Вход Регистрация
Что ты хочешь узнать?
Спроси Mozg
Открыть лучший ответ