М
Молодежь
К
Компьютеры-и-электроника
Д
Дом-и-сад
С
Стиль-и-уход-за-собой
П
Праздники-и-традиции
Т
Транспорт
П
Путешествия
С
Семейная-жизнь
Ф
Философия-и-религия
Б
Без категории
М
Мир-работы
Х
Хобби-и-рукоделие
И
Искусство-и-развлечения
В
Взаимоотношения
З
Здоровье
К
Кулинария-и-гостеприимство
Ф
Финансы-и-бизнес
П
Питомцы-и-животные
О
Образование
О
Образование-и-коммуникации
victoria128
victoria128
31.05.2021 16:41 •  Химия

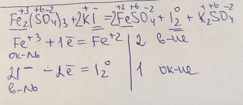
Fe2(SO4)3+KI=FeSO4+I2+K2SO4 используя метод электронного баланса, составьте уравнение реакции по схеме: Определите окислитель и восстановитель.

👇
Ответ:
nbkmrf
nbkmrf
31.05.2021

ответ смотри во вложении


Fe2(SO4)3+KI=FeSO4+I2+K2SO4 используя метод электронного баланса, составьте уравнение реакции по схе
4,7(59 оценок)
Открыть все ответы
Ответ:
xKarishax
xKarishax
31.05.2021

m(CaCO3) = 11 g

m(р-ра) = 200 g

W(H2SO4) = 4.9%

V(газа) - ?

m(осадка) - ?

m(H2SO4) = 0.049 * 200 = 9.8 g

n(H2SO4) = 9.8 / 98 = 0.1 mol

n(CaCO3) = 11 / 100 = 0.11 mol

0.11 mol   x mol

CaCO3 + H2SO4 = CaSO4 + H2O + CO2

1 mol        1 mol

1:0.11 = 1:x

x = 0.11

0.1 < 0.11

Соль в избытке, кислота в недостатке, ищем по кислоте.

                0.1 mol                                 x mol

CaCO3 + H2SO4 = CaSO4 + H2O + CO2

                 1 mol                                   1 mol

1:0.1 = 1:x

x = 0.1

V(CO2) = 0.1 * 22.4 = 2.24 l

m(CaSO4) = 0.1 * 136 = 13.6 g

(не считали по реакции так как реагируют в пропорции 1 к 1 и будет так же 0.1)

4,6(35 оценок)
Ответ:
mastermin
mastermin
31.05.2021

Се́рная кислота́ H2SO4 — сильная двухосновная кислота, отвечающая высшей степени окисления серы (+6). При обычных условиях концентрированная серная кислота — тяжёлая маслянистая жидкость без цвета и запаха, с сильнокислым «медным» вкусом. В технике серной кислотой называют её смеси как с водой, так и с серным ангидридом SO3. Если молярное отношение SO3 : H2O < 1, то это водный раствор серной кислоты, если > 1 — раствор SO3 в серной кислоте (олеум). Токсична, и относится к высокоопасным веществам (2-й класс опасности по ГОСТ 12.1.007).

4,5(59 оценок)
Это интересно:
Новые ответы от MOGZ: Химия
logo
Вход Регистрация
Что ты хочешь узнать?
Спроси Mozg
Открыть лучший ответ