М
Молодежь
К
Компьютеры-и-электроника
Д
Дом-и-сад
С
Стиль-и-уход-за-собой
П
Праздники-и-традиции
Т
Транспорт
П
Путешествия
С
Семейная-жизнь
Ф
Философия-и-религия
Б
Без категории
М
Мир-работы
Х
Хобби-и-рукоделие
И
Искусство-и-развлечения
В
Взаимоотношения
З
Здоровье
К
Кулинария-и-гостеприимство
Ф
Финансы-и-бизнес
П
Питомцы-и-животные
О
Образование
О
Образование-и-коммуникации
PAMAGITE12
PAMAGITE12
27.11.2022 15:46 •  Химия

решить химию(желательно 2 вариант, по возможности все два)


решить химию(желательно 2 вариант, по возможности все два)

👇
Ответ:
starlizz
starlizz
27.11.2022

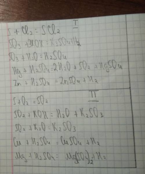
Я решила два варианта. Надеюсь


решить химию(желательно 2 вариант, по возможности все два)
4,4(7 оценок)
Открыть все ответы
Ответ:
hitman19102003
hitman19102003
27.11.2022
     Считаю, что черный порошок А - оксид меди (II) CuO, он растворяется в кислоте, но не реагирует с кислородом.
СuO + 2HCl = CuCl₂ + H₂O
     Черный порошок Б - это углерод C (сажа, уголь,графит,карбин), он не растворяется в кислоте, но горит в кислороде:
С + О₂ = СО₂
     Оксид меди (II)(А)  и углерод (Б) при нагревании вступают в окислительно-восстановительную реакцию, одним их продуктов которой является красный порошок металлической меди (В):
СuO + C = Cu + CO
Cu²⁺ + 2e⁻ = Cu⁰    | 1   восстановление;  Cu⁺² - окислитель
C⁰ - 2e⁻ = C²⁺         | 1   окисление; C⁰ - восстановитель

2CuO + C = 2Cu + CO₂
Сu²⁺ + 2e⁻ = Cu⁰    | 2    восстановление;  Сu²⁺  - окислитель,
C⁰ - 4e⁻ = C⁴⁺         | 1   окисление;  С⁰ - восстановитель,

Люди, сочно ! олимпиадный вопрос! : вещества a и б чёрного цвета. вещество a растворяется в разбавле
Люди, сочно ! олимпиадный вопрос! : вещества a и б чёрного цвета. вещество a растворяется в разбавле
Люди, сочно ! олимпиадный вопрос! : вещества a и б чёрного цвета. вещество a растворяется в разбавле
4,8(51 оценок)
Ответ:
misspotter
misspotter
27.11.2022
 
1) Скорость прямого процесса (v_пр) равна k_пр*[CO]*[H2O], где k_пр - гомогенная константа скорости прямого процесса, [CO] - концентрация CO и [H2O] - концентрация водяного пара. В свою очередь, скорость обратного процесса (v_обр) равна k_обр*[CO2]*[H2], где k_обр - гомогенная константа скорости обратного процесса, [CO2] - концентрация CO2 и [H2] - концентрация водорода. В принципе концентрации реагентов можно заменить их парциальными давлениями. В условиях динамического равновесия v_пр = v_обр.
2) Скорость прямого процесса v_пр = k_пр*[H2O], где k_пр - гетерогенная константа скорости прямого процесса, [H2O] - концентрация водяного пара. Скорость обратного процесса v_обр = k_обр*[H2], где k_обр - гетерогенная константа скорости обратного процесса, [H2] - концентрация водорода.
3) К_р (константа равновесия) = exp(-dG/kT), где dG - энергия Гиббса ПРЯМОЙ реакции, k - константа Больцмана, T - температура.
4) Прямая реакция ЭКЗОТЕРМИЧНА (тепловой эффект составляет примерно - 60 кДж/моль) . Следовательно, с ростом температуры равновесие сместится в ОБРАТНОМ направлении (т. е. , в сторону продуктов) .
4,6(78 оценок)
Новые ответы от MOGZ: Химия
logo
Вход Регистрация
Что ты хочешь узнать?
Спроси Mozg
Открыть лучший ответ