М
Молодежь
К
Компьютеры-и-электроника
Д
Дом-и-сад
С
Стиль-и-уход-за-собой
П
Праздники-и-традиции
Т
Транспорт
П
Путешествия
С
Семейная-жизнь
Ф
Философия-и-религия
Б
Без категории
М
Мир-работы
Х
Хобби-и-рукоделие
И
Искусство-и-развлечения
В
Взаимоотношения
З
Здоровье
К
Кулинария-и-гостеприимство
Ф
Финансы-и-бизнес
П
Питомцы-и-животные
О
Образование
О
Образование-и-коммуникации
qwert1520
qwert1520
24.01.2022 00:23 •  Химия

Укажите валентные электроны SO3 и P2O5

👇
Ответ:
kristinka140320
kristinka140320
24.01.2022

Валентность серы в SO3 равна 6, кислорода 2

Валентность фосфора в P2O5 равна 5, кислорода 2

Объяснение:

4,5(32 оценок)
Ответ:
135670ш8ге5
135670ш8ге5
24.01.2022

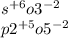
s { }^{ + 6} o3 {}^{ - 2} \\ p2 {}^{ + 5} o5 {}^{ - 2}

4,6(93 оценок)
Открыть все ответы
Ответ:
vlad200513
vlad200513
24.01.2022
1. Этан относится к гомологическому ряду веществ с общей формулой:
 CnH2n+2 
2. Формула гомолога метана:
а) С3H8 в) С2Н6 
3. Вещества с общей формулой С2Н2n+2 относятся к классу: 
а) алканов 
4. Формула гомолога бутана: 
в) С5Н12
5. Группу атомов, определяющую характерные свойства данного класса органических соединений, называют:
 б) функциональной группой 

6. Соединения, сходные по химическим свойствам, составу, отличающиеся фрагментом молекулы (-СН2-), называют:
 б) гомологами 
7. Вещества одинакового состава, но различного строения и с различными свойствами называют:
 в) изомерами 
8. Изомерия бывает:

в) структурной и пространственной 

9. К типу пространственной изомерии относят изомерию:

г) цис - и транс- изомерию
10. К типу структурной изомерии не относят:

б) положение кратных связей
в) положение функциональной группы

11. Органические реакции в зависимости от состава реагирующих веществ и продуктов реакции подразделяют на реакции:

г) диссоциации
Указать ошибку.
12. Гомологами являются:

г) бутан и октан
13. Сколько из следующих соединений являются гомологами: С2Н6; С5Н10; С3Н6; С4Н8; С2Н2?
в) 3 
15. В ряде углеводородов этан - этен - этин длина связи С-С:

б) уменьшается

17. Изомерами по положению кратной связи в молекулах органических веществ являются:

г) бутин-1 и бутин-2
21. Сколько σ и π связей в молекуле пропина?
 г) 6σ и 2π
30. Изомеры возможны у вещества:

б) 2-бромгексан
4,6(51 оценок)
Ответ:
rimanchik
rimanchik
24.01.2022
1)В
2)Г
3)А
4)...
5)Г
6)Б
7)скорректировать всего Б
8)...
9)Г
10)А
11) А:ДНК Состоит из азотистых оснований: аденин, тимин, гуанин, цитозин; углевода: дезоксирибоза и остатка фосфорной кислоты

РНКСостоит из азотистых оснований: аденин, урацил, гуанин, цитозин, углевода рибозы и остатка фосфорной кислоты
Б)ДНКДве полинуклеотидные цепочки право-закрученные друг относительно друга

(картинка приложена РНК)
В)99% находятся в хромосомах клеточного ядра, а также в митохондриях и хлоропластах

входит в состав ядрышек, рибосом, митохондрий, пластид, цитоплазмы.
Г) Содержит наследственную информацию о строении белка

Кодирует информацию с участка ДНК и переносит ее к месту сборки белка, присоединяет и переносит аминокислоты к месту сборки белка

12)
аденин(А) комплементарен тимину(Т), а гуанин(Г) комплементарен цитозину(Ц), следовательно всего нуклеотидов потребуется 600000+600000+2400000+2400000=6000000

ответ:6000000

13)транскрипция — построение РНК по комплементарной ей ДНК;

НАДЕЮСЬ ТУТ ВСЕ ПРАВИЛЬНО И

1(3 ). полинуклеотиды – это: а. карбоновые кислоты. б. ферменты. в. нуклеиновые кислоты. г. витамины
4,5(33 оценок)
Новые ответы от MOGZ: Химия
logo
Вход Регистрация
Что ты хочешь узнать?
Спроси Mozg
Открыть лучший ответ