М
Молодежь
К
Компьютеры-и-электроника
Д
Дом-и-сад
С
Стиль-и-уход-за-собой
П
Праздники-и-традиции
Т
Транспорт
П
Путешествия
С
Семейная-жизнь
Ф
Философия-и-религия
Б
Без категории
М
Мир-работы
Х
Хобби-и-рукоделие
И
Искусство-и-развлечения
В
Взаимоотношения
З
Здоровье
К
Кулинария-и-гостеприимство
Ф
Финансы-и-бизнес
П
Питомцы-и-животные
О
Образование
О
Образование-и-коммуникации
joje1
joje1
21.02.2023 11:01 •  Химия

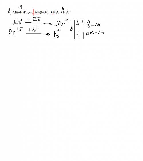
Решить овр. если азот будет принимать 8 электронов объяснить, откуда взялось целых 8 электронов.

👇
Ответ:
Ququki
Ququki
21.02.2023
Азот меняет свою степень окисления с +5 в левой части на +1 в правой. Поскольку азот взят 2 раза( если расставить коэффициенты) то и получается, что он всего принимает 8 электронов.
4,4(58 оценок)
Ответ:
камидь
камидь
21.02.2023
Просто азот удвоен в правой части уравнения, и в баланс он записывается с индексом "2", поэтому и электронов будет передано не 4, а 8:
Решить овр. если азот будет принимать 8 электронов объяснить, откуда взялось целых 8 электронов.
4,5(39 оценок)
Открыть все ответы
Ответ:
0Neder0
0Neder0
21.02.2023
Соль и сахар - белые кристаллические вещества, хорошо растворимые в воде. соль - соленая на вкус, хороший электролит в растворе и расплаве, т.к. имеет ионную кристаллическую решетку. сахар сладкий на вкус, имеет молекулярную кристаллическую решетку, потому неэлектролит. уксусная кислота и вода при стандартных условиях являются бесцветными жидкостями, оба вещества являются слабыми электролитами и хорошими растворителями для некоторых нужд. уксусная кислота - карбоновая кислота, с характерным запахом и вкусом. чистая вода без вкуса и запаха.
4,5(60 оценок)
Ответ:
Дано:
m[K(AlSO₄)₂]=23,7 г
V(NaOH) =24,6 мл
ω(NaOH) = 20% = 0,2
ρ(NaOH) = 1,22 г/мл

m[Al(OH)₃] - ?

m(p-pa NaOH) = 24,6 мл*1,22 г/мл = 30 г
m(NaOH) = 30 г*0,2 = 6 г
M(NaOH) = 40 г/моль
n(NaOH) = 6 г/40 г/моль = 0,15 моль
Находим массу безводной соли кристаллогидрата:
M[K(AlSO₄)₂*12H₂O] = 501 г/моль
501 г K(AlSO₄)₂*12H₂O содержат 216 г воды
23,7 г х г воды
х= 10,218 г ≈10,2 г
m(K(AlSO₄)₂ = 23.7 г - 10,2 г = 13,5 г
n(K(AlSO₄)₂) = 13,5 г/285 г/моль = 0,047 моль
0,047 моль    0,15 моль                х моль
K(AlSO₄)₂ + 6NaOH = K₂SO₄ + 2Al(OH)₃↓ + 3Na₂SO₄ + 12H₂O
1 моль          6 моль                     2 моль
Из уравнения реакции необходимо найти какой из реагентов взят в избытке, подсчитав вычислим, что гидроксид натрия взят в недостатке, поэтому образуется гидроксид алюминия, по нему определим количество гидроксида натрия:
х=n(Al(OH)₃) = 0.15 моль*2 моль/6 моль = 0,05 моль
m(Al(OH₃) = 0.05 моль*78 г/моль = 3,9 г
ответ: 3,9 г; гидроксид алюминия
4,7(70 оценок)
Это интересно:
Новые ответы от MOGZ: Химия
logo
Вход Регистрация
Что ты хочешь узнать?
Спроси Mozg
Открыть лучший ответ