М
Молодежь
К
Компьютеры-и-электроника
Д
Дом-и-сад
С
Стиль-и-уход-за-собой
П
Праздники-и-традиции
Т
Транспорт
П
Путешествия
С
Семейная-жизнь
Ф
Философия-и-религия
Б
Без категории
М
Мир-работы
Х
Хобби-и-рукоделие
И
Искусство-и-развлечения
В
Взаимоотношения
З
Здоровье
К
Кулинария-и-гостеприимство
Ф
Финансы-и-бизнес
П
Питомцы-и-животные
О
Образование
О
Образование-и-коммуникации
dogdogdogdogdogdog
dogdogdogdogdogdog
10.09.2022 11:52 •  Химия

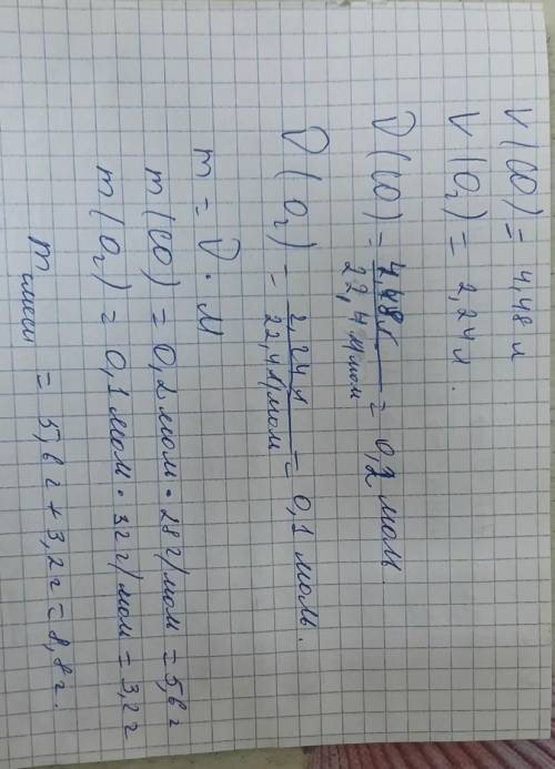
Определить массу газовой смеси состоящей из 4,48 дм в кубе CO и 2.24 дм O2

👇
Ответ:
артемий1456
артемий1456
10.09.2022

Объяснение:

............................................


Определить массу газовой смеси состоящей из 4,48 дм в кубе CO и 2.24 дм O2
4,5(22 оценок)
Открыть все ответы
Ответ:
severenok
severenok
10.09.2022

ответ:С физической точки зрения металлы отличаются от неметаллов:  

- железным блеском (который имеют также и некие неметаллы: йод и углерод в виде графита) ;  

- хорошей электропроводностью;  

- возможностью лёгкой механической обработки;  

- высочайшей плотностью (обычно металлы тяжелее неметаллов) ;  

- высочайшей температурой плавления (исключения: ртуть, галлий и щелочные металлы) ;  

- великий теплопроводимостью  

Металлы не отличаются разнообразной цветовой окраской: в главном, все они сероватые, за исключением красной меди и желтого золота. Неметаллы гораздо больше разнообразны по цвету.  

Металлов намного больше, чем неметаллов, при том, их количество с открытием новых частей в конце Периодической системы подрастает.  

4,4(31 оценок)
Ответ:
Dasha9316551
Dasha9316551
10.09.2022

ответ:С физической точки зрения металлы отличаются от неметаллов:  

- железным блеском (который имеют также и некие неметаллы: йод и углерод в виде графита) ;  

- хорошей электропроводностью;  

- возможностью лёгкой механической обработки;  

- высочайшей плотностью (обычно металлы тяжелее неметаллов) ;  

- высочайшей температурой плавления (исключения: ртуть, галлий и щелочные металлы) ;  

- великий теплопроводимостью  

Металлы не отличаются разнообразной цветовой окраской: в главном, все они сероватые, за исключением красной меди и желтого золота. Неметаллы гораздо больше разнообразны по цвету.  

Металлов намного больше, чем неметаллов, при том, их количество с открытием новых частей в конце Периодической системы подрастает.  

4,6(52 оценок)
Это интересно:
Новые ответы от MOGZ: Химия
logo
Вход Регистрация
Что ты хочешь узнать?
Спроси Mozg
Открыть лучший ответ