М
Молодежь
К
Компьютеры-и-электроника
Д
Дом-и-сад
С
Стиль-и-уход-за-собой
П
Праздники-и-традиции
Т
Транспорт
П
Путешествия
С
Семейная-жизнь
Ф
Философия-и-религия
Б
Без категории
М
Мир-работы
Х
Хобби-и-рукоделие
И
Искусство-и-развлечения
В
Взаимоотношения
З
Здоровье
К
Кулинария-и-гостеприимство
Ф
Финансы-и-бизнес
П
Питомцы-и-животные
О
Образование
О
Образование-и-коммуникации
dhcf12
dhcf12
28.01.2020 04:29 •  Химия

Нада визначити молекулярну масу
до іть дуже


Нада визначити молекулярну масудо іть дуже

👇
Ответ:
kiscaki
kiscaki
28.01.2020

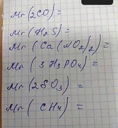
Mr(2CO) = 2 × 12 + 2 × 16 = 56

Mr(H2S) = 2 × 1 + 1 × 32 = 34

Mr(Ca(NO2)2) = 1 × 40 + 2 × 14 + 4 × 16 = 132

Mr(3H3PO4) = 9 × 1 + 3 × 31 + 12 × 16 = 294

Mr(2SO3) = 2 × 32 + 6 × 16 = 160

Mr(CH4) = 1 × 12 + 4 × 1 = 16

4,8(55 оценок)
Открыть все ответы
Ответ:
ммаа2
ммаа2
28.01.2020
 Сахароза C12H22O11,, тростниковый сахар, в быту просто сахар, — дисахарид из группы олигосахаридов, состоящий из двух моносахаридов: α-глюкозы и β-фруктозы.
 Медь — элемент одиннадцатой группы четвёртого периода периодической системы химических элементов Д. И. Менделеева, с атомным номером 29. Обозначается символом Cu. Простое вещество медь — это пластичный переходный металл золотисто-розового цвета.
 Пова́ренная соль, или соль пищевая, — пищевой продукт. В измельчённом виде представляет собой бесцветные кристаллы.
 Вода́ — бинарное неорганическое соединение с химической формулой Н₂O. Молекула воды состоит из двух атомов водорода и одного — кислорода, которые соединены между собой ковалентной связью.
 Подсо́лнечное ма́сло — растительное масло, получаемое из семян масличных сортов подсолнечника масличного.Подсолнечное масло — одно из важнейших растительных масел на территории бывшего СССР, имеющее большое народно-хозяйственное значение. В кулинарии применяется для жарки и для заправки салатов. Из него производят маргарин и кулинарные жиры (путём гидрирования). Подсолнечное масло применяется при изготовленииконсервов, а также в мыловарении и лакокрасочной промышленности. Подсолнечное масло входит в состав различных мазей.
 Бензи́н — горючая смесь лёгких углеводородов с температурой кипения от 33 до 205 °C (в зависимости от примесей). Плотность около 0,71 г/см³. Теплотворная примерно 10 200 ккал/кг (46 МДж/кг, 32,7 МДж/литр).
 Уксус. продукт со значительным содержанием уксусной кислоты, традиционно получаемый в результате микробиологического синтеза с уксуснокислых бактерий из пищевого спиртосодержащего сырья.Натуральный уксус содержит уксусную и другие пищевые кислоты (лимонную, виннокаменную, яблочную и т. п.), альдегиды, сложные эфиры, сложные спирты, совокупность которых создаёт аромат и букет уксуса.Уксус, полученный путём разведения концентрированной синтетической уксусной кислоты, не имеет ароматических свойств, но имеет специфический запах собственно уксусной кислоты.
 Алюми́ний — элемент 13-й группы периодической таблицы химических элементов, третьего периода, с атомным номером 13. Обозначается символом Al. Относится к группе лёгких металлов.
 Стекло. В зависимости от основного используемого стеклообразующего вещества, стёкла бывают оксидными (силикатные, кварцевое, германатные, фосфатные, боратные), фторидными, сульфидными и так далее.
4,5(37 оценок)
Ответ:
katyspdhh
katyspdhh
28.01.2020
В природе существует очень много повторяющихся последовательностей:

времена года;
время суток;
дни недели…
В середине 19 века Д.И.Менделеев заметил, что химические свойства элементов также имеют определенную последовательность (говорят, что эта идея пришла ему во сне). Итогом чудесных сновидений ученого стала Периодическая таблица химических элементов, в которой Д.И. Менделеев выстроил химические элементы по возрастанию атомной массы. В современной таблице химические элементы выстроены по возрастанию атомного номера элемента (количество протонов в ядре атома).
4,4(96 оценок)
Это интересно:
Новые ответы от MOGZ: Химия
logo
Вход Регистрация
Что ты хочешь узнать?
Спроси Mozg
Открыть лучший ответ