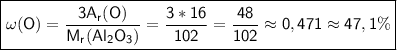
Формула оксида алюминия — Al₂O₃.Mᵣ(Al₂O₃) = 2Aᵣ(Al) + 3Aᵣ(O) = 2*27 + 3*16 = 54 + 48 = 102.ответ : ω(Al) ≈ 52,9%, ω(O) ≈ 47,1%.
Формула оксида алюминия — Al₂O₃.


Mᵣ(Al₂O₃) = 2Aᵣ(Al) + 3Aᵣ(O) = 2*27 + 3*16 = 54 + 48 = 102.
ответ : ω(Al) ≈ 52,9%, ω(O) ≈ 47,1%.