М
Молодежь
К
Компьютеры-и-электроника
Д
Дом-и-сад
С
Стиль-и-уход-за-собой
П
Праздники-и-традиции
Т
Транспорт
П
Путешествия
С
Семейная-жизнь
Ф
Философия-и-религия
Б
Без категории
М
Мир-работы
Х
Хобби-и-рукоделие
И
Искусство-и-развлечения
В
Взаимоотношения
З
Здоровье
К
Кулинария-и-гостеприимство
Ф
Финансы-и-бизнес
П
Питомцы-и-животные
О
Образование
О
Образование-и-коммуникации
Бесконечноенебо
Бесконечноенебо
21.06.2020 18:27 •  Химия

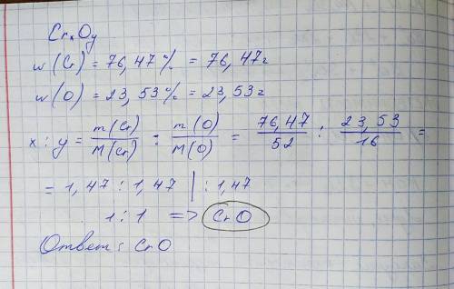
Формула химического соединения, если
w(Cr) =76,47%
w(O) =23,53%

👇
Ответ:
healarcimbo
healarcimbo
21.06.2020

во вложении


Формула химического соединения, если w(Cr) =76,47%w(O) =23,53%
4,5(52 оценок)
Открыть все ответы
Ответ:
monyamirzoeva
monyamirzoeva
21.06.2020

Дано :

m(P)=12,4 г

m(P₂O₃), V(O₂) - ?

Ур-е реакции :

4P+3O₂=2P₂O₃

Расчет кол-ва вещества (моль) фосфора

n(P)=m(P)/M(P), где M(P) - молярная масса фосфора, г/моль

n(P)=12,4/31=0,4 моль

Исходя из ур-я реакции, мы видим, что из 4 моль фосфора образуеттся 2 моль оксида фосфора 3, т.е. в 2 раза меньше, следовательно

n(P₂O₃) = 1/2n(P) = 0,2 моль

Для расчета массы, воспользуемся формулой

m(P₂O₃)=M(P₂O₃) · n(P₂O₃), где М(P₂O₃) - молярная масса оксида фосфора 3, г/моль

m(P₂O₃)= 110 · 0,2 = 22 г

Теперь возвращаемся к кислороду, по ур. р-ции его 3 моль;

Согласно нашим расчетам, на 1 моль ур-я р-ции приходится 0,1 моль при наших условиях, т.е.

n(O₂)=3/4n(P)=0,4·0,3/0,4=0,3 моль

4P+3O₂=2P₂O₃, дублирую для наглядности,

Теперь, когда известно кол-во вещ-ва кислорода, можно рассчитать его объем по формуле :

V(O₂)=n(O₂) · Vm, где Vm - молярный объем газа при н.у. (22,4 л/моль)

V(O₂)=0,3·22,4=6,72 л

ответ : 22 г, 6,72 л.

4,4(98 оценок)
Ответ:
даяна55552
даяна55552
21.06.2020
1) Тепловое действие тока — электрический ток вызывает разогревание проводников. Наблюдается для всех проводников, кроме сверхпроводящих, в сверхпроводниках потерь тепла не происходит.
2) Химическое действие тока — при прохождении электрического тока через электролит возможно выделение веществ, содержащихся в растворе, на электродах. Наблюдается в жидких проводниках.
3) Магнитное действие тока — проводник с током приобретает магнитные свойства. Наблюдается при наличии электрического тока в любых проводниках (твердых, жидких, газообразных).
4,5(12 оценок)
Новые ответы от MOGZ: Химия
logo
Вход Регистрация
Что ты хочешь узнать?
Спроси Mozg
Открыть лучший ответ