М
Молодежь
К
Компьютеры-и-электроника
Д
Дом-и-сад
С
Стиль-и-уход-за-собой
П
Праздники-и-традиции
Т
Транспорт
П
Путешествия
С
Семейная-жизнь
Ф
Философия-и-религия
Б
Без категории
М
Мир-работы
Х
Хобби-и-рукоделие
И
Искусство-и-развлечения
В
Взаимоотношения
З
Здоровье
К
Кулинария-и-гостеприимство
Ф
Финансы-и-бизнес
П
Питомцы-и-животные
О
Образование
О
Образование-и-коммуникации
alan001199
alan001199
03.04.2023 14:18 •  Химия

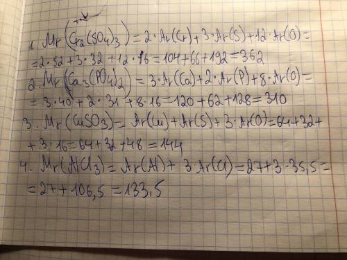
Обчислити відносні молекуляні маси для Сг₂(SO4)3, Ca3(PO4)2, CuSO3, AICI3
ХЕЕЕЛП !!(((

👇
Ответ:
PisarenkoEV1
PisarenkoEV1
03.04.2023

Відповідь:

Пояснення:


Обчислити відносні молекуляні маси для Сг₂(SO4)3, Ca3(PO4)2, CuSO3, AICI3ХЕЕЕЛП !!(((
4,4(98 оценок)
Открыть все ответы
Ответ:
карина2116
карина2116
03.04.2023

Fe(OH)3 + 3 HNO3 → Fe(NO3)3 + 3 H2O                  12,1% -w%(HNO3)  

Объяснение:

Точнее сказать можно здесь именно какого р-ра исходного или полученного  от этого зависит решение и ответ  ,   если Исходном растворе то так

m(Fe(OH)3)=18,5гр

m(РА-РА)=270ГР

1) 18,5гр-  107 г/моль                              

     х гр    -  3*63 г/моль  ; x=32.67гр

                         2)32,67гр/270гр*100%=12,1% -w(HNO3)

если в полученном р-ре  ,тогда 2)270гр+18,5гр=288,5гр масса полученного р-ра 3) 32,67гр/288,5гр*100%=11,32% -w%(HNO3)

4,5(80 оценок)
Ответ:
maratkhan0311
maratkhan0311
03.04.2023

Fe(OH)3 + 3 HNO3 → Fe(NO3)3 + 3 H2O                  12,1% -w%(HNO3)  

Объяснение:

Точнее сказать можно здесь именно какого р-ра исходного или полученного  от этого зависит решение и ответ  ,   если Исходном растворе то так

m(Fe(OH)3)=18,5гр

m(РА-РА)=270ГР

1) 18,5гр-  107 г/моль                              

     х гр    -  3*63 г/моль  ; x=32.67гр

                         2)32,67гр/270гр*100%=12,1% -w(HNO3)

если в полученном р-ре  ,тогда 2)270гр+18,5гр=288,5гр масса полученного р-ра 3) 32,67гр/288,5гр*100%=11,32% -w%(HNO3)

4,4(93 оценок)
Новые ответы от MOGZ: Химия
logo
Вход Регистрация
Что ты хочешь узнать?
Спроси Mozg
Открыть лучший ответ