М
Молодежь
К
Компьютеры-и-электроника
Д
Дом-и-сад
С
Стиль-и-уход-за-собой
П
Праздники-и-традиции
Т
Транспорт
П
Путешествия
С
Семейная-жизнь
Ф
Философия-и-религия
Б
Без категории
М
Мир-работы
Х
Хобби-и-рукоделие
И
Искусство-и-развлечения
В
Взаимоотношения
З
Здоровье
К
Кулинария-и-гостеприимство
Ф
Финансы-и-бизнес
П
Питомцы-и-животные
О
Образование
О
Образование-и-коммуникации
Skinner56825
Skinner56825
05.12.2020 04:39 •  Химия

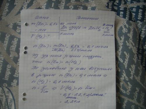
Люди,мне нужна ваша ! по в 8 классе вообще ничего почти не понимаю. нужно исправлять оценки.. объяснить решение ,буду . и объясните как составлять формулы. : сколько литров н2 образуется при взаимодействии 6,5 г. цинка с серной кислотой? образуется соль и водород(н2).

👇
Ответ:
Bluka23
Bluka23
05.12.2020
Решение на фото:
Плюс фото, где поясняется, как составлять формулы:

Люди,мне нужна ваша ! по в 8 классе вообще ничего почти не понимаю. нужно исправлять оценки.. объясн
Люди,мне нужна ваша ! по в 8 классе вообще ничего почти не понимаю. нужно исправлять оценки.. объясн
Люди,мне нужна ваша ! по в 8 классе вообще ничего почти не понимаю. нужно исправлять оценки.. объясн
4,7(20 оценок)
Открыть все ответы
Ответ:
Олосовании 4 года назад

В лидеры

ОТВЕТЫ

Павел ДзюбкоПрофи (857)1/1

Н. Н. Бекетов организовал термохимические лаборатории, в которых вместе с учениками определил теплоты образования оксидов и хлоридов щелочных металлов. Фактические открытия Бекетова всегда представляли большой интерес. В 1870 году он впервые получил безводные оксиды щелочных металлов, которых до него никто не имел. За эти работы впоследствии Бекетов был удостоен Ломоносовской премии Санкт-Петербургской Академии Наук (1879). Он также открыл вытеснение металлов из растворов их солей водородом под давлением, установил, что магний и цинк при высоких температурах вытесняют другие металлы из их солей. В 1859-1865 годах показал, что при высоких температурах алюминий восстанавливает металлы из их окислов; позднее эти опыты послужили отправной точкой для возникновения алюминотермии. 
4,8(23 оценок)
Ответ:
Ilyauhdhbtxskr
Ilyauhdhbtxskr
05.12.2020

Дезинфекционные средства" – средства, предназначенные для проведения дезинфекции (дезинфицирующие средства), предстерилизационной очистки, стерилизации (стерилизующие средства), дезинсекции (инсектицидные, педикулицидные, акарицидные средства), дератизации (дератизационные средства), а также репеллентные средства.

Единые санитарно-эпидемиологические и гигиенические требования к продукции (товарам), подлежащей санитарно-эпидемиологическому надзору (контролю), утвержденные решением Комиссии Таможенного союза от 28 мая 2010 г. № 299, с изменениями и дополнениями, внесенными решением Коллегии Евразийской экономической комиссии от 21 мая 2019 г. № 78

Дезинфекционные средства – химические и биологические средства, предназначенные для проведения дезинфекции (дезинфицирующие средства), предстерилизационной очистки, стерилизации (стерилизационные средства), дезинсекции (дезинсекционные средства), дератизации (дератизационные средства), а также репеллентные средства и педикулициды.

Единые санитарно-эпидемиологические и гигиенические требования к продукции (товарам), подлежащей санитарно-эпидемиологическому надзору (контролю), утвержденные решением Комиссии Таможенного союза от 28 мая 2010 г. № 299, с изменениями и дополнениями, внесенными решением Коллегии Евразийской экономической комиссии от 21 мая 2019 г. № 78

Дезинфицирующие средства – дезинфекционные средства, применяемые для проведения дезинфекции.

Единые санитарно-эпидемиологические и гигиенические требования к продукции (товарам), подлежащей санитарно-эпидемиологическому надзору (контролю), утвержденные решением Комиссии Таможенного союза от 28 мая 2010 г. № 299, с изменениями и дополнениями, внесенными решением Коллегии Евразийской экономической комиссии от 21 мая 2019 г. № 78

Ассоциативные связи

- ДЕРАТИЗАЦИЯ

- ДЕЗИНФЕКЦИОННЫЕ, ДЕЗИНСЕКЦИОННЫЕ И ДЕРАТИЗАЦИОННЫЕ МЕРОПРИЯТИЯ

- АНТИСЕПТИЧЕСКОЕ ЛЕКАРСТВЕННОЕ СРЕДСТВО

- ДЕЗИНФЕКТОЛОГИЧЕСКАЯ ЭКСПЕРТИЗА ДЕЗИНФЕКЦИОННЫХ СРЕДСТВ

- БАРЬЕРНАЯ ДЕРАТИЗАЦИЯ

- РЕЖИМ ПРИМЕНЕНИЯ

- ДЕЗИНФЕКТОЛОГИЧЕСКАЯ ЭКСПЕРТИЗА

- ДЕЗИНСЕКЦИОННЫЕ СРЕДСТВА

- РОДЕНТИЦИДЫ

- ДЕЗИНФЕКЦИЯ ВЫСОКОГО УРОВНЯ

- САНИТАРНО-ГИГИЕНИЧЕСКИЕ ТРЕБОВАНИЯ

- САНИТАРНОЕ СОДЕРЖАНИЕ ОБЩЕГО ИМУЩЕСТВА

- ОЦЕНКА РЕАЛЬНОЙ ОПАСНОСТИ

- СРОКИ ОЖИДАНИЯ

- САНИТАРНОЕ СОДЕРЖАНИЕ ВС ПОМЕЩЕНИЙ ЖИЛОГО ДОМА

- ПРЕПАРАТИВНАЯ ФОРМА

- СТЕРИЛИЗУЮЩИЕ СРЕДСТВА

- САНИТАРНО-ЭПИДЕМИОЛОГИЧЕСКИЕ ТРЕБОВАНИЯ

- ОБРАЩЕНИЕ ДЕЗИНФЕКЦИОННОГО СРЕДСТВА

- ДЕЗИНФЕКЦИЯ ОТРАБОТАННЫХ МЕДИЦИНСКИХ ИЗДЕЛИЙ

Объяснение:

dct dthyj

4,6(46 оценок)
Это интересно:
Новые ответы от MOGZ: Химия
logo
Вход Регистрация
Что ты хочешь узнать?
Спроси Mozg
Открыть лучший ответ