М
Молодежь
К
Компьютеры-и-электроника
Д
Дом-и-сад
С
Стиль-и-уход-за-собой
П
Праздники-и-традиции
Т
Транспорт
П
Путешествия
С
Семейная-жизнь
Ф
Философия-и-религия
Б
Без категории
М
Мир-работы
Х
Хобби-и-рукоделие
И
Искусство-и-развлечения
В
Взаимоотношения
З
Здоровье
К
Кулинария-и-гостеприимство
Ф
Финансы-и-бизнес
П
Питомцы-и-животные
О
Образование
О
Образование-и-коммуникации
Kata8i77866
Kata8i77866
27.11.2020 08:48 •  Химия

Bao+x-> cu+h2o. zno+x-> znso4 al2o3+x-> alcl3+y

👇
Ответ:
yuliya19999
yuliya19999
27.11.2020
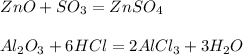
ZnO+SO3=ZnSO4
Al2O3+6HCl=2AlCl3+3H2O
в первом что-то не так , проверьте задание
4,7(40 оценок)
Ответ:
karisha113
karisha113
27.11.2020
ZnO+SO_{3} =ZnSO _{4} \\ \\ Al _2} O_{3} +6HCl=2AlCl _{3} +3H _{2} O
4,5(32 оценок)
Открыть все ответы
Ответ:
panteleevdanil
panteleevdanil
27.11.2020

1)это фундаментальный закон, который был сформулирован Д.И. Менделеевым в 1869 году.

2)это ряд химических элементов, для которых характерно постепенное возрастание заряда ядра и изменение хим. свойств от ярко выраженных металлических через амфотнрные до неметаллических.

3)Вертикальная периодичность заключается в повторяемости свойств простых веществ и соединений в вертикальных столбцах Периодической системы. Это основной вид периодичности, в соответствии с которым все элементы объединены в группы. Элементы одной группы имеет однотипные электронные конфигурации. Химия элементов и их соединений обычно рассматривается на основе этого вида периодичности.

Горизонтальная периодичность заключается в появлении максимальных и минимальных значений свойств простых веществ и соединений в пределах каждого периода. Она особенно заметна для элементов VIIIБ-группы и лантаноидов.

Диагональная периодичность - повторяемость свойств простых веществ и соединений по диагоналям Периодической системы. Она связана с возрастание неметаллических свойств в периодах слева направо и в группах снизу вверх. Поэтому литий похож на магний, бериллий на алюминий, бор на кремний, углерод на фосфор. Так, литий и магний образуют много алкильных и арильных соединений, которые часто используют в органической химии. Бериллий и алюминий имеют сходные значения окислительно-восстановительных потенциалов. Бор и кремний образуют летучие, весьма реакционно молекулярные гидриды.

4)Щелочные металлы - 1 группа. натрия, калий, рубидий, цезий галогены - 7 группа. фтор, хор, бром, йод инертные газы - 8 группа. неон, аргон, гелий.

5)Если элемент ближе к фтору то у него сильнее выражены не металлические свойства(O,S),а если элемент ближе к францию то у него проявляются металлические  свойства(Au,Cs)

6)В периодах отначала к периода к концу (слева направо) усиливаются кислотные (неметаллические) свойства и ослабевают основные (металлические) свойства в связи с увеличением количества электронов на внешнем электронном уровне. В группах от начала к концу (сверху вниз) усиливаются металлические (основные) свойства и ослабевают неметаллические (кислотные свойства) в связи с увеличением электронных уровней и меньшим притяжение электронов внешнего уровня к ядру.

7)Li (Li2O основной оксид реагирует с кислотными оксидами и солями) (R2O подгруппа лития) Be (BeO (амфотерный) основной оксид реагирует с кислотами и солями) (RO подгруппа бериллия) B (B2O3 кислотный оксид реагирует с основаниями и солями) (R2O3 подгруппа алюминия) C (CO2 кислотный оксид реагирует с оксидами (основными)) (RO2 подгруппа углерода) N (N2O5 кислотный оксид реагирует с основаниями) (подгруппа R2O5)

O ( RO3 подгруппа килорода) F(галоген с кислородом образует дифторид кислорода F2O) Ne (благородный газ, не образует соединение с кислородом)

8)а) NaOH, Mg(OH)2,  

б) Al(OH)3

в) кислотных в третьем периоде нет

характер свойств: а) щелочи б)гидроксид реагировать с кислотами

Объяснение: 2)У элементов одного периода имеется одинаковое число заполненых электронных энергетических уровней и идет заполнение одного и того же электронного уровня.

4,6(42 оценок)
Ответ:
Masha20468
Masha20468
27.11.2020

Br2O5 - заряд у брома 5+ у кислорода 2-. Ты берешь и переписываешь просто Br и O. И теперь крест накрест. Заряд кислорода пишешь рядом с бромом(2), а заряд брома пишешь рядом с кислородом(5).

Mg4C2 - заряд у магния 2+ у углерода 4-. Ты берешь и переписываешь просто Mg и C. И теперь крест накрест. Заряд углерода пишешь рядом с магнием(4), а заряд магния пишешь рядом с углеродом(2).

SCl4 - заряд у серы 4+ у хлора -- (1- не пишут. пишут просто --). Ты берешь и переписываешь просто S и Cl. И теперь крест накрест. Заряд хлора --, по этому рядом с серой ты ничего не пишешь, а заряд серы пишешь рядом с хлором(4).

4,5(78 оценок)
Это интересно:
Новые ответы от MOGZ: Химия
logo
Вход Регистрация
Что ты хочешь узнать?
Спроси Mozg
Открыть лучший ответ