М
Молодежь
К
Компьютеры-и-электроника
Д
Дом-и-сад
С
Стиль-и-уход-за-собой
П
Праздники-и-традиции
Т
Транспорт
П
Путешествия
С
Семейная-жизнь
Ф
Философия-и-религия
Б
Без категории
М
Мир-работы
Х
Хобби-и-рукоделие
И
Искусство-и-развлечения
В
Взаимоотношения
З
Здоровье
К
Кулинария-и-гостеприимство
Ф
Финансы-и-бизнес
П
Питомцы-и-животные
О
Образование
О
Образование-и-коммуникации
Лана200611
Лана200611
08.06.2021 19:10 •  Химия

1.такую же степень окисления, как и в p2o5, фосфор имеет в соединении 1) ph3 2)h3po4 3) ca3p2 4) ph4cl

👇
Ответ:
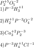
P ^{+5} _{2} O ^{-2} _{5} \\ 1)P ^{-3} H_{3} ^{+1} \\ \\ 2)H ^{+1} _{2} P^{-3} O_{4} ^{-2} \\ \\ 3)Ca ^{+2} _{3} P _{2} ^{-3} \\ \\ 4)P ^{-3} H ^{+1} _{4} Cl^{-1}

ответ: 2)
4,6(45 оценок)
Открыть все ответы
Ответ:
watchdogs3
watchdogs3
08.06.2021

Дано:

m(CaO)= 2.14г

 

Найти:

n(H₂O)-?

N(H₂O)-?

 

 

Найдем хим количество CaO:

n(CaO)= m(CaO)/ M = 2.14г / 56 г/моль = 0,038 моль 

 

Запишем реакцию и над CaO пишем то, что нашли. Под ним и H2O пишем коэффициент перед ними, т. е. 1.

 

 0,038 моль       x моль

CaO          +         H2O   =     Ca(OH)2    + Q

1моль                  1 моль

 

По пропорции находим x.

X= 0.038*1 / 1= 0.038 моль

 

По формуле N = n ∙ Na

Na- постоянная величина, = 6,02 ∙ 10²³ моль⁻¹

N(H2O) = n(H2O) ∙ Na = 0.038 ∙ 6,02 ∙ 10²³ = 0.23∙ 10²³ (молекул)

 

ответ:  n(H2O)= 0.038 , N(H2O)= 0.23∙ 10²³

4,6(59 оценок)
Ответ:
pwgamerproyt
pwgamerproyt
08.06.2021

Значком ^ Обозначил, что писать надо сверху (степень окисления или типо того)

e - электрон

      S^0 + Zn^0 = Zn^(+2)S^(-2)

Zn^0 - 2e →Zn^(+2) окисление (Zn - восстановитель)

S^0 + 2e → S^(-2) восстановление (S окислитель)

2) F2^0 + 2Na^0 = 2Na^(+1)F^(-1)

Na^0 -1e → Na^(+1)окисление (Na - восстановитель)

F2^0 +2e → 2F^(-1) восстановление (F окислитель)

Так достаточно подробно?Если, да, то доделаю другие3

3)С^0 + Cu^(+2)O = Cu^0 + C^(+2)O

C^0 -2e → C^(+2)окисление (C - восстановитель)

Cu^(+2) + 2e → Cu^0 восстановление (Cu окислитель)

4)3Н^(0)2 + N^(0)2 = 2N^(-3)Н^(+1)3 (реакция обратимая)

H^(0)2 - 2e →2H(+1) окисление (H - восстановитель)

N^(0)2 + 6e →2N^(-3)восстановление (N окислитель)

Общий множитель 2 и 6 являеься 2 (получается 1 и 3)поэтому перед водородом ставится коэффицент 3

 

4,4(1 оценок)
Это интересно:
Новые ответы от MOGZ: Химия
logo
Вход Регистрация
Что ты хочешь узнать?
Спроси Mozg
Открыть лучший ответ