М
Молодежь
К
Компьютеры-и-электроника
Д
Дом-и-сад
С
Стиль-и-уход-за-собой
П
Праздники-и-традиции
Т
Транспорт
П
Путешествия
С
Семейная-жизнь
Ф
Философия-и-религия
Б
Без категории
М
Мир-работы
Х
Хобби-и-рукоделие
И
Искусство-и-развлечения
В
Взаимоотношения
З
Здоровье
К
Кулинария-и-гостеприимство
Ф
Финансы-и-бизнес
П
Питомцы-и-животные
О
Образование
О
Образование-и-коммуникации
risj83risj
risj83risj
19.03.2022 10:54 •  Химия

1) в медицине используют раствор для внутривенного вливания.для приготовления 3кг этого раствора взяли 25,5 г натрий хлорида.массовая доля вещества в полученном растворе ? ? 2)смешали 200 г раствора с массовой долей натрий хлорида 5% и 120 г раствора этой же соли с массовой долей 7% эту.массовая доля соли в растворе после смешивания равна решения)

👇
Ответ:
Sasha080903
Sasha080903
19.03.2022
Дано:
m(раствора)=3000 г.
m(NaCl) = 25.5 г.
----------------------------
w (NaCl) - ?
                         Решение:
w= \frac{m(p.B-Ba)}{m(p-pa)} \cdot100 \\ w(NaCl)= \frac{25.5}{3000} \cdot100=0.85

ответ: 0,85%.

Задача 2.
Дано:
m₁(раствора)=200 г.
w₁=5%
m₂(раствора)=120 г.
w₂ = 7%
____________________
w₃ - ?
                         Решение:
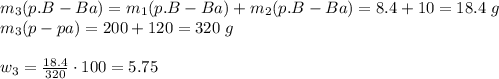
w= \frac{m(p.B-Ba)}{m(p-pa)} \cdot100 \\ m_1(p.B-Ba)= \frac{w\cdot m(p-pa)}{100} = \frac{5\cdot200}{100} =10\,\,g \\ \\ m_2(p.B-Ba)= \frac{w\cdot m_2(p-pa)}{100} = \frac{7\cdot120}{100}=8.4\,\,g
m_3(p.B-Ba)=m_1(p.B-Ba)+m_2(p.B-Ba)=8.4+10=18.4\,\,g \\ m_3(p-pa)=200+120=320\,\,g \\ \\ w_3= \frac{18.4}{320} \cdot100=5.75

ответ: 5,75%
4,7(40 оценок)
Открыть все ответы
Ответ:
Катя4567890123
Катя4567890123
19.03.2022
Рассчитаем массу сульфата хрома в итоговом растворе:
795*0,2 = 159 г

Найдем долю безводного сульфата хрома в кристаллогидрате:
392/716 = 0,547

Примем массу кристаллогидрата, необходимую для составления требуемого раствора за х, а массу раствора с долей 0,15 за у. Тогда для массы итогового раствора можем записать: х + у = 795.
Выражая массу безводного сульфата в кристаллогидрате и в исходном растворе через их массовые доли, получаем 0,547х и 0,15у соответственно.
Для массы сульфата в итоговом растворе имеем: 0,547х + 0,15у = 159
Составим систему уравнений:
х + у = 795
0,547х + 0,15у = 159

Решая систему уравнений, находим:
х = 100 г
у = 695 г

ответ: m(Сr₂(So₄)₃⋅18H₂O) = 100 г
            m(р-ра с долей 0,15) = 695 г
4,4(25 оценок)
Ответ:
trohy71
trohy71
19.03.2022
К2SO4 - сульфат калия, соль
Н2SO4 - серная кислота, кислота
CuCl2, - хлорид меди, соль
Cu(OH)2 - гидроксид меди, основание
, Na2CO3 - карбонат натрия, соль
Al2O3, - оксид алюминия, оксид
Fe(OH)2 - гидроксид железа 2, основание
BaO - оксид бария, оксид
Н2S - сероводород, кислота

оксид натрия - Na2O
гидроксид цинка - Zn(OH)2
бромид алюминия - AlBr3
карбонат калия - K2CO3

Ва(OH)2 + 2HCl → BaCl2 + 2H2O - реакция обмена

2Fe(OH)3 = Fe2O3 + 3H2O - реакция размножения

Fe(OH)3 + 3HNO3 →Fe(NO3)3+3H2O- реакция обмена

Mg + 2HCl → MgCl2+H2 - реакция замещения
4,6(16 оценок)
Это интересно:
Новые ответы от MOGZ: Химия
logo
Вход Регистрация
Что ты хочешь узнать?
Спроси Mozg
Открыть лучший ответ