М
Молодежь
К
Компьютеры-и-электроника
Д
Дом-и-сад
С
Стиль-и-уход-за-собой
П
Праздники-и-традиции
Т
Транспорт
П
Путешествия
С
Семейная-жизнь
Ф
Философия-и-религия
Б
Без категории
М
Мир-работы
Х
Хобби-и-рукоделие
И
Искусство-и-развлечения
В
Взаимоотношения
З
Здоровье
К
Кулинария-и-гостеприимство
Ф
Финансы-и-бизнес
П
Питомцы-и-животные
О
Образование
О
Образование-и-коммуникации
Гоша2285
Гоша2285
13.09.2020 21:17 •  Химия

Составьте формулы соединений, образованных серой(ii) и следующими элементами: al, zn, ca, ba, mg, na, k, li, ag, mn(ii), fe(ii), fe(iii), hg(ii), cu(ii), cr(ii), cr(iii), pb(ii);

👇
Ответ:
emdnick
emdnick
13.09.2020
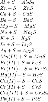
Al + S = Al_{2} S_{3} \\ 
Zn + S = ZnS \\ 
Ca + S = CaS \\
Ba + S = BaS \\
Mg + S = MgS \\
Na + S = Na_2S \\
K + S = K_2S \\
Li + S = Li_2S\\
Ag + S = Ag_2S\\
Mn(II) + S = MnS \\
Fe(II) + S = FeS\\
Fe(III) + S = Fe_2S_3 \\
Hg(II) + S = HgS \\
Cu(II) + S = CuS \\
Cr(II) + S = CrS \\
Cu(III) + S = Cr_2S_3 \\
Pb(II) + S = PbS\\
4,8(63 оценок)
Открыть все ответы
Ответ:
зайка584
зайка584
13.09.2020
1. Na⁺

Число протонов (заряд ядра) равно порядковому номеру элемента = 11 протонов.

Чтобы найти число нейтронов, мы от атомной массы (23) отнимаем число протонов (11) = 12 нейтронов.

В нейтральном состоянии число электронов равно числу протонов (11), но у нас ион Na с зарядом ⁺¹. Чтобы найти число электронов, мы от 11 (нейтральный атом) отнимаем 1 = 10 электронов.


По аналогии делаем и остальные.


2. Al³⁺

Число протонов = 13.

Число нейтронов = 14.

Число электронов = 10.


3. Mg²⁺

Число протонов = 12.

Число нейтронов = 12.

Число электронов = 10.

4,6(4 оценок)
Ответ:
nvel1999
nvel1999
13.09.2020

1) Находим количество молей серной кислоты в каждом из растворов. Понятие 2М раствор означает, сто в 1 литре раствора содержится 2 моля растворенного вещества, значит в 2 л находится 2*2 = 4 моля вещества. И соответственно в 3 л 7М раствора находится 3*7 = 21 моль вещества. При смешении этих растворов в полученном растворе будет 4 + 21 = 25 моль верной кислоты.

2) Находим массы исходных растворов по формуле: m = ρ*V  где ρ - плотность раствора, г/мл; V - объем раствора, млю

m₁= 1,12*2000 = 2240 г

m₂= 1,39*3000 = 4170 г

3) Тогда масса полученного раствора равна 2240 + 4170 = 6410 г

Находим объем полученного раствора;=:

V = m/ρ = 6410/1,29 = 4969 мл = 4,969 л

4) То есть в 4,969 л раствора содержится 25 моль серной кислоты. Определяем молярную концентрацию:

См = n/V = 25/4,969 = 5,031 моль/л (или 5,031М)

4,6(15 оценок)
Это интересно:
Новые ответы от MOGZ: Химия
logo
Вход Регистрация
Что ты хочешь узнать?
Спроси Mozg
Открыть лучший ответ