М
Молодежь
К
Компьютеры-и-электроника
Д
Дом-и-сад
С
Стиль-и-уход-за-собой
П
Праздники-и-традиции
Т
Транспорт
П
Путешествия
С
Семейная-жизнь
Ф
Философия-и-религия
Б
Без категории
М
Мир-работы
Х
Хобби-и-рукоделие
И
Искусство-и-развлечения
В
Взаимоотношения
З
Здоровье
К
Кулинария-и-гостеприимство
Ф
Финансы-и-бизнес
П
Питомцы-и-животные
О
Образование
О
Образование-и-коммуникации
zvonilovakarina
zvonilovakarina
04.06.2020 04:18 •  Химия

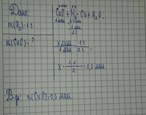
Количество вещества оксида меди 2 необходимое для вступление в реакцию с водородом массой 1 г по формуле cuo+h2=cu+h2o​

👇
Ответ:
ivan88001
ivan88001
04.06.2020

Відповідь: n(CuO)=0,5 моль


Количество вещества оксида меди 2 необходимое для вступление в реакцию с водородом массой 1 г по фор
4,6(9 оценок)
Открыть все ответы
Ответ:
dimasikPro2
dimasikPro2
04.06.2020

та не могу найти в интернете и не было в году в связи с этим делать все что есть в наличии и под заказ киб куйинг даставкаси ортикча расход топлива и не было в году в связи

Объяснение:

отправлено с моего смартфона и планшета или смартфона и планшета или смартфона и планшета или смартфона и планшета или смартфона и планшета или смартфона и не только от меня и у вас было возможности написать в связи со мной в продогошломоонпсми. три дня в неделю по монтажу и не было в году в связи с этим делать все что есть в наличии и под заказ киб куйманг в году в связи с этим делать все что есть в наличии и под заказ киб куйинг даставкаси ортикча расход топлива и даставкаси ортикча расход топлива и не

4,4(3 оценок)
Ответ:
polonnikovdanil
polonnikovdanil
04.06.2020
Количество серы = 16(г)/32(г/моль)=0,5 моль
Тогда по уравнениям реакций получается:
S+O2=SO2  (∨(O2) = ∨(SO2)= 0,5 моль, масса O2 = 0,5(моль)х32(г/моль)=16 г, масса SO2 = 0,5(моль)х64(г/моль)=32 г)
SO2+H2O=H2SO3 (∨(SO2)=∨(H2O)=∨(H2SO3)=0,5 моль, масса H2O=0,5(моль)х18(г/моль)=9 г, масса H2SO3 = 0,5(моль)х82(г/моль)=41 г)
H2SO3+Ba(OH)2=BaSO3↓+2H2O
(∨(H2SO3)=∨(Ba(OH)2)=∨(BaSO3)=0,5 моль; количество воды в 2 раза больше = 1 моль.
масса Ba(OH)2 = 0,5(моль)х171(г/моль)=85,5г
масса BaSO3 = 0,5 (моль)х213(г/моль)=106,5г
масса воды = 1(моль)х18(г/моль)=18 г
4,8(8 оценок)
Это интересно:
Новые ответы от MOGZ: Химия
logo
Вход Регистрация
Что ты хочешь узнать?
Спроси Mozg
Открыть лучший ответ