М
Молодежь
К
Компьютеры-и-электроника
Д
Дом-и-сад
С
Стиль-и-уход-за-собой
П
Праздники-и-традиции
Т
Транспорт
П
Путешествия
С
Семейная-жизнь
Ф
Философия-и-религия
Б
Без категории
М
Мир-работы
Х
Хобби-и-рукоделие
И
Искусство-и-развлечения
В
Взаимоотношения
З
Здоровье
К
Кулинария-и-гостеприимство
Ф
Финансы-и-бизнес
П
Питомцы-и-животные
О
Образование
О
Образование-и-коммуникации
kolazykov11
kolazykov11
16.04.2022 15:46 •  Химия

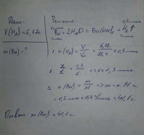
Вреакции ba+2h2o=ba(oh)2+h2 выделился водород объёмом 6,72 л. какая масса бария вступила в реакцию? ​

👇
Ответ:
timirkapro
timirkapro
16.04.2022

Вот решение...Удачи))


Вреакции ba+2h2o=ba(oh)2+h2 выделился водород объёмом 6,72 л. какая масса бария вступила в реакцию?
4,6(2 оценок)
Открыть все ответы
Ответ:
Kejiro
Kejiro
16.04.2022

Объяснение:

Вуглеводи – це хімічні сполуки, які складаються з кисню, водню та вуглецю. Приблизно від 2 до 3 % маси тіла людини складають вуглеводи. Вуглеводи можна розділити на 4 хімічні групи; моносахариди і дисахариди (прості вуглеводи, які часто називають цукрами), а також олігосахариди і полісахариди (складні вуглеводи).  Більшість продуктів харчування, які ми споживаємо, містять вуглеводи. Всі фрукти та овочі, всі хлібопекарські вироби, зернові продукти є вуглеводами, а також цукор та солодкі продукти. Деякі продукти харчування мають більше вуглеводів, ніж інші, макаронні вироби, хліб, рис, молоко, картопля, хлібобулочні вироби, фрукти, овочі, крупи і попкорн з високим вмістом вуглеводів.  Більшість продуктів харчування, які ми споживаємо, містять вуглеводи. Всі фрукти та овочі, всі хлібопекарські вироби, зернові продукти є вуглеводами, а також цукор та солодкі продукти. Деякі продукти харчування мають більше вуглеводів, ніж інші, макаронні вироби, хліб, рис, молоко, картопля, хлібобулочні вироби, фрукти, овочі, крупи і попкорн з високим вмістом вуглеводів.

Джерело: https://dovidka.biz.ua/tsikavi-fakty-pro-vuhlevody/

4,4(96 оценок)
Ответ:
GiftOfDeath
GiftOfDeath
16.04.2022

Фізики зі Сполучених Штатів Америки розробили унікальний наноматеріал, який під дією електрики може перетворювати присутній в повітрі СО2 в молекули етилового спирту. Стаття, що описує винахід, з'явилася у виданні ChemistrySelect, повідомляє сайт Planet-today.ru.

"Ми, взагалі, створювали матеріал, покритий графінованими і мідними наноголками, не для того, щоб перетворювати вуглекислоту в спирт - цей ефект був виявлений практично випадково", - заявляє провідний автор розробки, співробітник Національної лабораторії в Оак-Рідж, Адам Рондінон.

Принцип, на основі якого працює створена фізиками установка, дозволяє, до речі кажучи отримувати з СО2 не тільки етанол, а й колосальну безліч інших речовин - досить трохи змінити конфігурацію пристрою.

"Тепер ясно, як можна використовувати величезні обсяги вуглекислого газу, що викидаються людством в атмосферу планети", - коментують новину експерти.

Спирт в космосі

Вченим вперше вдалося виявити у протопланетному диску новонародженої зірки молекули метанолу, а в Шотландії знайшли новий вид зброї, якою користувалися воїни Римської імперії.

В протопланетном диску TW Hydrae – зірки, розташованої в сузір'ї Гідри – були виявлені молекули метилового спирту. Таке відкриття вченим вдалося зробити вперше. Вони підкреслюють, що виявлення метанолу в протопланетному диску дозволить краще зрозуміти процеси, які відбуваються на ранніх етапах формування зірок і планет.

TW Hydrae – молода зірка. Її вік становить усього 10 мільйонів років. Для порівняння, вік нашого Сонця становить близько 4,6 мільярдів років. TW Hydrae віддалена від Землі приблизно на 170 світлових років. Виявити молекули метанолу вченим вдалося за до радіотелескопу ALMA, розташованого в чилійській пустелі Атакама.

Чому медичний спирт щипає?

Люди використовували медичний спирт для промивання ран і порізів протягом довгого часу. Якщо ви коли-небудь користувалися їм, ви знаєте, що він щипає при попаданні на рану, іноді навіть сильніше, ніж болить сам поріз. Це відбувається не тому, що спирт вбиває бактерії, а через реакцію, яку він викликає в тілі.

Коли медичний спирт потрапляє на поріз, він впливає прямо на рецептори VR1 в шкірі. Ці рецептори відповідають за сприйняття жару. У той час як вони активуються при високих температурах, спирт знижує їх поріг до рівня, при якому температури тіла досить, щоб їх активувати. Рецепторам "здається", що тіло горить, і вони передають больовий сигнал в мозок, навіть незважаючи на те, що шкіра не була пошкоджена.

4,8(24 оценок)
Это интересно:
Новые ответы от MOGZ: Химия
logo
Вход Регистрация
Что ты хочешь узнать?
Спроси Mozg
Открыть лучший ответ