М
Молодежь
К
Компьютеры-и-электроника
Д
Дом-и-сад
С
Стиль-и-уход-за-собой
П
Праздники-и-традиции
Т
Транспорт
П
Путешествия
С
Семейная-жизнь
Ф
Философия-и-религия
Б
Без категории
М
Мир-работы
Х
Хобби-и-рукоделие
И
Искусство-и-развлечения
В
Взаимоотношения
З
Здоровье
К
Кулинария-и-гостеприимство
Ф
Финансы-и-бизнес
П
Питомцы-и-животные
О
Образование
О
Образование-и-коммуникации
DanProGold
DanProGold
09.02.2020 09:14 •  Химия

Относительная плотность углеводорода по аргону равна 1,05. установите его молекулярную формулу

👇
Ответ:
mirko20152016
mirko20152016
09.02.2020
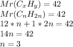
1.Найдем относительную молекулярную массу углеводорода через относительную плотность:
Mr(C_xH_y)=D_{Ar}(C_xH_y)*Mr(Ar)=1,05*40=42
2. Зная три общие формулы углеводородов разных групп,поочередно вставим полученную цифру.В результате получится,что целое число n - число атомов Углерода,получится только в общей формуле для углеводородов ряда этилена(т.е. алкенов):
Mr(C_xH_y)=42\\Mr(C_nH_{2n})=42\\12*n+1*2n=42\\14n=42\\n=3
Т.е. углеводород имеет в своем составе 3 атома Углерода,значит его формула:
C_3H_6 - это пропен(или пропилен)
4,5(68 оценок)
Открыть все ответы
Ответ:
botejijofo
botejijofo
09.02.2020
1.
 Дано:
 n(HgO) = 6моль

  m(Hg) -:?


1. 2HgO = 2Hg + O₂
2. По уравнению реакции из 2моль образуется 2моль ртути, значит из 6моль образуется тоже 6моль ртути.
n(Hg)=6моль
3. Определим молярную массу ртути и ее массу количеством вещества 6моль:
M(Hg)=200г./моль
m(Hg)=n(Hg)xM(Hg)=6мольх200г./моль=1200г.
4. ответ: из 6моль оксида ртути образуется 1200г. ртути.

2.
Дано:
m(Mg)=240г.
Vm=22,4л./моль

V(O₂)-?
1. 2Mg + O₂ = 2MgO
2. Определим молярную массу магния и его количество вещества в 240г.
M(Mg)=24г./моль
n(Mg)=m(Mg)÷M(Mg)=24г.÷240г./моль=0,1моль
3. По уравнению. реакции на сжигание 2моль магния израсходуется 1моль кислорода, значить на 0,1моль магния потребуется 0,05моль кислорода. n(O₂)=0,05моль
4. Определим объем кислорода количеством вещества 0,05моль.:
V(H₂)=n(O₂) x Vm =0,05моль х 22,4л./моль=1,12л.
5. Для сжигания 240г. магния потребуется 1,12л. кислорода.
4,5(77 оценок)
Ответ:
237112
237112
09.02.2020
1МОЛЬ ЛЮБОГО ВЕЩЕСТВА СОДЕРЖИТ 6·10²³ МОЛЕКУЛ, АТОМОВ, СТРУКТУРНЫХ ЧАСТИЦ.
ЭТО ЧИСЛО НАЗЫВАЮТ ПОСТОЯННОЙ АВОГАДРО В ЧЕСТЬ УЧЕНОГО А. АВОГАДРО.
ОБОЗНАЧАЮТ: Na      Na=6·10²³молекул;
Буквой N - обозначают число молекул, атомов, которые нужно определить.
Существует зависимость межу числом Авогадро, числом молекул и количеством вещества,выраженная формулами:
n=N÷Na,
Na=N÷n, 
N=n×Na

Что бы ответить на твой вопрос:
Дано: 
m(MgO)=10г.

Найти N(MgO)-?
1. Надо определить молярную массу оксида магния:
M(MgO)=24+16=40г./моль
2. Определить количество вещества оксида магния в его 10г.
n(MgO)= m(MgO)÷M(MgO)=10г.÷40г./моль= 0,25моль
3. Определим число молекул в количестве вещества 0,25моль оксида магния:
N(MgO)=n(MgO)×Na=0,25моль×6·10²³молекул=1,5·10²³молекул
4. ответ: 10г. оксида магния содержит 1,5·10²³молекул.
4,7(63 оценок)
Новые ответы от MOGZ: Химия
logo
Вход Регистрация
Что ты хочешь узнать?
Спроси Mozg
Открыть лучший ответ