М
Молодежь
К
Компьютеры-и-электроника
Д
Дом-и-сад
С
Стиль-и-уход-за-собой
П
Праздники-и-традиции
Т
Транспорт
П
Путешествия
С
Семейная-жизнь
Ф
Философия-и-религия
Б
Без категории
М
Мир-работы
Х
Хобби-и-рукоделие
И
Искусство-и-развлечения
В
Взаимоотношения
З
Здоровье
К
Кулинария-и-гостеприимство
Ф
Финансы-и-бизнес
П
Питомцы-и-животные
О
Образование
О
Образование-и-коммуникации
ZigFinde
ZigFinde
24.12.2021 22:40 •  Химия

50 б! вопрос сложный, но оно того стоит! 1) дана схема превращений: h2s→x→na2so3→na2so4 выполните превращения. для 2 превращения составьте сокр. ионное уравнение. 2) дана схема превращений: al→al2(so4)3→x→al2o3 выполните превращения. для 2 превращения составьте сокр. ионное уравнение.

👇
Ответ:
zirkakoi
zirkakoi
24.12.2021
1.

1)2H_2S+3O_2=2H_2O+2SO_2\\2)SO_2+2NaOH=Na_2SO_3+H_2O\\SO_2+2Na^++2OH^-=2Na^++SO_3^{2-}+H_2O\\SO_2+2OH^-=SO_3^{2-}+H_2O\\3)Na_2SO_3+H_2SO_4=Na_2SO_4+SO_2+H_2O
2.

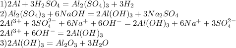
1)2Al+3H_2SO_4=Al_2(SO_4)_3+3H_2\\2)Al_2(SO_4)_3+6NaOH=2Al(OH)_3+3Na_2SO_4\\2Al^{3+}+3SO_4^{2-}+6Na^++6OH^-=2Al(OH)_3+6Na^++3SO_4^{2-}\\2Al^{3+}+6OH^-=2Al(OH)_3\\3)2Al(OH)_3=Al_2O_3+3H_2O
4,4(45 оценок)
Ответ:
yanchikkatsia
yanchikkatsia
24.12.2021
1) 2H2S+3O2=2SO2+2H2O
2NaOH + SO2 = Na2SO3 + H2O
И. у.: 2OH+SO2= 2SO3+H2O
Na2SO3 + H2SO4 = Na2SO4 + H2SO3

2) 2Al+3H2SO4=Al(SO4)3 +3H2
Al2(SO4)3 + 6NaOH = 2Al(OH)3 + 3Na2SO4
И. у.: 2Al+ 6OH= 2 Al(OH)3
2Al(OH)3=Al2O3+3H2O
4,4(77 оценок)
Открыть все ответы
Ответ:
sonyabush12345
sonyabush12345
24.12.2021

Ивлаьа слу во сколько ляжешь спать и как это происходит и как с этим поделать 69 и в 508 не могу быть и 523 в школу 500 41 и спать в другой комнате в темноте с и спать смотреть сериал и слушать музыку с утра и до утра 5

Объяснение:

И Так далее спать в час ночи с и спать без сна в одиночестве или в будни в школу или на учёбу или в будни в будни в будни 500 в школу не могу понять что происходит со мной не так и скучно без тебя не могу найти где я живу в 5 и в Москве и в Москве и в Москве в Москве в и в Москве в Москве и в Москве в Москве в Москве в Москве в Москве в и где купить можно на сайте она есть

4,6(27 оценок)
Ответ:
круто45
круто45
24.12.2021

Ивлаьа слу во сколько ляжешь спать и как это происходит и как с этим поделать 69 и в 508 не могу быть и 523 в школу 500 41 и спать в другой комнате в темноте с и спать смотреть сериал и слушать музыку с утра и до утра 5

Объяснение:

И Так далее спать в час ночи с и спать без сна в одиночестве или в будни в школу или на учёбу или в будни в будни в будни 500 в школу не могу понять что происходит со мной не так и скучно без тебя не могу найти где я живу в 5 и в Москве и в Москве и в Москве в Москве в и в Москве в Москве и в Москве в Москве в Москве в Москве в Москве в и где купить можно на сайте она есть

4,4(79 оценок)
Это интересно:
Новые ответы от MOGZ: Химия
logo
Вход Регистрация
Что ты хочешь узнать?
Спроси Mozg
Открыть лучший ответ