М
Молодежь
К
Компьютеры-и-электроника
Д
Дом-и-сад
С
Стиль-и-уход-за-собой
П
Праздники-и-традиции
Т
Транспорт
П
Путешествия
С
Семейная-жизнь
Ф
Философия-и-религия
Б
Без категории
М
Мир-работы
Х
Хобби-и-рукоделие
И
Искусство-и-развлечения
В
Взаимоотношения
З
Здоровье
К
Кулинария-и-гостеприимство
Ф
Финансы-и-бизнес
П
Питомцы-и-животные
О
Образование
О
Образование-и-коммуникации
aleksbotalov33p00u0t
aleksbotalov33p00u0t
09.02.2021 10:22 •  Химия

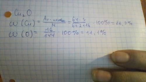
Нужно определить массовую долю элементов в оксида меди(i) и в оксиде меди (ii) . найденные массовые доли , нужно выразить в процентах . с решением .

👇
Ответ:
RobloxTop
RobloxTop
09.02.2021
Смотри фото

Думаю, тут всё понятно
Нужно определить массовую долю элементов в оксида меди(i) и в оксиде меди (ii) . найденные массовые
4,5(83 оценок)
Открыть все ответы
Ответ:

10  

Неон

Ne20,1797

2s22p6

Нео́н (Ne, лат. neon) — химический элемент 18-й группы (по устаревшей классификации — элемент главной подгруппы VIII группы) второго периода периодической системы с атомным номером 10.

Пятый по распространённости элемент Вселенной после водорода, гелия, кислорода и углерода. Как простое вещество представляет собой инертный одноатомный газ без цвета и запаха. Обнаружен (наряду с ксеноном и криптоном) в 1898 году путём вывода из жидкого воздуха водорода, кислорода, аргона и углекислого газа.

Объяснение:

4,7(6 оценок)
Ответ:
никусь2222
никусь2222
09.02.2021
1) потому что при реакции уксусной кислоты с карбонатом кальция получается карбонатная кислота которая слабее чем уксусная, при этом еще и разлагается на углекислый газ и воду
CaCO3 + 2CH3COOH = Ca(CH3COO)2 + CO2 + H2O
То есть если реагирует кислота и соль всегда получается соль кислоты которая сильнее и кислота которая слабее, например если смешать соль (NaCl) и уксусную кислоту то реакция не произойдет потому, что мы уже имеем соль кислоты (NaCl) которая сильнее, и кислоту которая слабее (уксусную).
Именно по этой причине сульфат кальция не реагирует с уксусной кислотой (сульфатная кислота сильнее уксусной)
2) K2Cr2O7 + 2H2SO4 = 2KHSO4 + 2CrO3 + H2O (только кислота должна быть концентрированной и реакция протекает при нагревании)
4,8(64 оценок)
Это интересно:
Новые ответы от MOGZ: Химия
logo
Вход Регистрация
Что ты хочешь узнать?
Спроси Mozg
Открыть лучший ответ