М
Молодежь
К
Компьютеры-и-электроника
Д
Дом-и-сад
С
Стиль-и-уход-за-собой
П
Праздники-и-традиции
Т
Транспорт
П
Путешествия
С
Семейная-жизнь
Ф
Философия-и-религия
Б
Без категории
М
Мир-работы
Х
Хобби-и-рукоделие
И
Искусство-и-развлечения
В
Взаимоотношения
З
Здоровье
К
Кулинария-и-гостеприимство
Ф
Финансы-и-бизнес
П
Питомцы-и-животные
О
Образование
О
Образование-и-коммуникации
Викусёк1101
Викусёк1101
10.09.2022 06:49 •  Химия

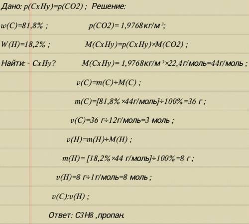
Решить 1)плотность газообразного органического вещества такая же как и плотность углекислого газа . массовые доли углерода и водорода в веществе составляют 81,8% и 18,2% . установите истинную формулу вещества 2)плотность газообразного органического вещества в 4 раза больше плотности аммиака. массовые доли углерода и водорода в веществе составляют соответственно 88,24% и 11,76%. установите молекулярную формулу вещества

👇
Ответ:
yanapetelyakp070y8
yanapetelyakp070y8
10.09.2022
-----------------------
Решить 1)плотность газообразного органического вещества такая же как и плотность углекислого газа .
Решить 1)плотность газообразного органического вещества такая же как и плотность углекислого газа .
4,8(81 оценок)
Открыть все ответы
Ответ:
Мур3иk
Мур3иk
10.09.2022
Дано: смесь Са, СаО, СаСО₃;
с НСl  выделяется 0,5 моля газа
при сжигании - объем газа уменьшается вдвое;
при прокаливании с О₂ масса СаО увеличивается вдвое.
Найти: массу смеси
Решение: 
     Реакция компонентов смеси с соляной кислотой:
1. Са +2НСl = CaCl₂ + H₂↑
2. CaO + 2HCl = CaCl₂ + H₂O
3. CaCO₃ + 2HCl = CaCl₂ + CO₂↑ + H₂O
      Газы получаются в 1 и  3 реакциях. 
n(CO₂+H₂O) = 0,5 моля.
      Но горит только водород
4. 2Н₂+О₂=2Н₂О, СО₂ - не горит
      Так как по условию объем уменьшается вдвое, это значит, что
n(CO₂) = n(H₂) = 0,5 : 2 = 0,25 (моля) 
      Из уравнений 1 и 3 видно, что на моль Са приходится моль Н₂, а на моль СаСО₃ приходится моль СО₂, значит,
n(Ca) = n(H₂) = 0,25 моля
n(CaCO₃) = n(CO₂) = 0,25 моля 
     Реакция компонентов смеси при прокаливании в кислородом.
5. 2Са + О₂ = 2СаО
6. СаСО₃ = СаО + СО₂
     Химическое количество образовавшегося СаО по реакции 5 равно n(Ca), а по реакции 6 равно n(CаСО₃)
      Оксид кальция в смеси не изменяется. Его  масса  по условию увеличивается вдвое: за счет образования СаО по реакциям 5 и 6. Т.к. это одно и тоже вещество, химическое количество СаО также увеличивается вдвое, значит:
n(CaO) = n(Са) + n(СаСО₃) = 0,25 + 0,25 = 0,5 (моля) 
      Определим массы компонентов смеси по формуле: m = n*M
M(Са) = 40 г/моль
М(СаО) = 40 +16 = 56 (г/моль)
М(СаСО₃) = 40 + 12 + 16*3 = 100 (г/моль)
m(Ca) = 0,25*40 = 10 (г)
m(CaO) = 0,5*56 = 28 (г)
m(CaCO₃) = 0,25*100 = 25 (г)
mсм. = 10 + 28 + 25 = 63 (г)
ответ: 63 г
4,6(1 оценок)
Ответ:
margo1084
margo1084
10.09.2022
Свойства концентрированной серной кислоты разнообразны. Например, при растворении этой кислоты в воде будет выделено большое количество теплоты (19ккал/моль) вследствие образования гидратов. Эти гидраты можно выделить из раствора при низких температурах в твердом виде.
1.1. К работе с кислотами, щелочами и другими едкими веществами допускаются лица не моложе 18 лет инструктаж по охране труда.
1.2. Работник должен соблюдать:
-правила внутреннего распорядка;
-должностную инструкцию;
-инструкцию по охране труда и пожарной безопасности;
-правила личной гигиены.
1.3. Работник должен быть обеспечен спецодеждой и другими средствами индивидуальной защиты и правильно их использовать. При работе с едкими веществами помимо рабочего костюма должны применяться резиновые перчатки, резиновая обувь, прорезиненный фартук, респиратор с противокислотным патроном, защитные очки. Срок службы вышеуказанных средств индивидуальной защиты (СИЗ) устанавливается до их износа. Запрещается работать с едкими веществами в поврежденной спецодежде или при ее отсутствии.
1.4. Работник обязан уметь оказать первую при несчастном случае, в первую очередь – промыть пораженное место 1 %-ным раствором питьевой соды (при обливе кислотой) или 1%-ным раствором лимонной кислоты (при контакте со щелочью), а затем – большим количеством воды. Вышеуказанные растворы в количестве по 1 л должны входить в состав медицинской аптечки на складе.
1.5. При подъеме и перемещении емкостей с едкими веществами предельно допустимые нагрузки для женщин не более 10 кг, для мужчин – не более 50 кг на одного работника.
1.6. О каждом несчастном случае, произошедшем на производстве, начальник склада извещает директора предприятия. Начальник склада обязан:
-немедленно организовать первую пострадавшему и при необходимости доставку его в учреждение здравоохранения;
-принять неотложные меры по предотвращению развития аварийной ситуации и воздействия травмирующего фактора на других лиц.
1.7. Лица, допустившие невыполнение или нарушение инструкции по охране труда, подвергаются дисциплинарному взысканию и внеплановому инструктажу.
1.8. Данная инструкция в части соблюдения мер безопасности также подходит для работы практически со всеми химическими веществами, кроме особо отмеченных случаев, которые описываются дополнительно.
4,7(81 оценок)
Это интересно:
Новые ответы от MOGZ: Химия
logo
Вход Регистрация
Что ты хочешь узнать?
Спроси Mozg
Открыть лучший ответ