Огромным достоинством теории валентности явилась возможность наглядного изображения молекулы. В 1860-х годах появились первые молекулярные модели. Уже в 1864 году А. Браун предложил использовать структурные формулы в виде окружностей с помещёнными в них символами элементов, соединённых линиями, обозначающими химическую связь между атомами; количество линий соответствовало валентности атома. В 1865 году А. фон Гофман продемонстрировал первые шаростержневые модели, в которых роль атомов играли крокетные шары. В 1866 году в учебнике Кекуле появились рисунки стереохимических моделей, в которых атом углерода имел тетраэдрическую конфигурацию.
Основания используют в промышленности, в лабораториях и в быту. Из всех оснований наибольшее применение находят щёлочи. Техническое название гидроксида кальция — гашёная известь, или пушонка.
Основания очень широко применяются в химических лабораториях, химической промышленности и в быту. Какие из них являются наиболее распространенными и широко используемыми?
К примеру, гидроксид натрия (NaOH) — самый распространенный реактив. Он используется при изготовлении натриевых солей, а также солей органических кислот.
Области применения — производство древесины из целлюлозы при сульфатной варке, мыла, смачивателей, искусственных волокон, а также красителей и фенолов. Применяют его также в электролитических процессах в технологиях цинка и олова.
Следующее снование, нашедшее широкое применение, — гидроксид калия (КОН). Это вещество является исходным для получения жидких мыл, солей калия и некоторых видов красителей. Его используют в качестве электролита в никель-кадмиевых аккумуляторах в сочетании с гидроксидом лития.
Гидроксид аммония (NH4OH) используется как удобрение и консервант при производстве кормов для животных. Также применяют в производстве соды и красителей.
Гидроксид кальция (Ca(OH)2), или, другими словами, гашеная известь, нашла применение в строительных работах. Из нее делают хлорную известь и известковые удобрения. Также с ее можно дубить кожу, смягчать воду и нейтрализовать сточные воды.
V(O₂) : V(air) = 3 : 1
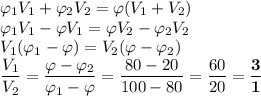
Объяснение:
Обозначим объемную долю кислорода в кислороде как φ₁, ну и конечно его там 1 или 100%. Также обозначим объемную долю кислорода в воздухе как φ₂ - его там 0.2 или 20%. Ну и просто φ будет объемная доля кислорода в конечной смеси, т.е. 0.8 или 80%. Объемы этих газов будем обозначать так же, только применяя V.
Используем формулу
Отсюда имеем
P.S. Конечно же это просто математическая форма простого правила креста.