М
Молодежь
К
Компьютеры-и-электроника
Д
Дом-и-сад
С
Стиль-и-уход-за-собой
П
Праздники-и-традиции
Т
Транспорт
П
Путешествия
С
Семейная-жизнь
Ф
Философия-и-религия
Б
Без категории
М
Мир-работы
Х
Хобби-и-рукоделие
И
Искусство-и-развлечения
В
Взаимоотношения
З
Здоровье
К
Кулинария-и-гостеприимство
Ф
Финансы-и-бизнес
П
Питомцы-и-животные
О
Образование
О
Образование-и-коммуникации
валерка1973
валерка1973
09.09.2020 09:01 •  Химия

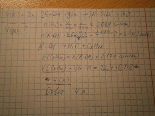
При обработке некоторого спирта натрием выделилось 2 л газа (н.у) какой объем этиленового углеводорода (н.у.) образуется при дегидратации такой же массы?

👇
Ответ:
еклвла838
еклвла838
09.09.2020
Решение на фотографии

При обработке некоторого спирта натрием выделилось 2 л газа (н.у) какой объем этиленового углеводоро
4,5(44 оценок)
Открыть все ответы
Ответ:
gargallik
gargallik
09.09.2020

Средние (нормальные) соли - это соли, которые образуются при замещении атомами металлов всех атомов водорода в молекуле кислоты

Кислые соли - это соли, которые образуются в результате неполного замещения атомами металлов атомов водорода в молекуле кислоты (образуются при избытке кислоты)

Основные соли - это соли, в молекулах которых, кроме кислотных остатков также присутствуют гидроксильные группы (OH) связаны с атомами металлов (образуются при избытке основания)

Двойные соли - это соли, которые образуются при замещении атомов водорода в молекулах кислот атомами двух различных металлов (и / или ион аммония NH4 +).

4,5(54 оценок)
Ответ:
lera784738374
lera784738374
09.09.2020

1) C₂H₅OCH₃ = Простой эфир (метилэтиловый эфир)

2) CH₃CH(OH)CH2OH =Двухатомный спирт (пропандиол-1,2)

CH₂(ОН)-CH₂-CH2OH пропандиол-1,3

3) С₃Н₇СООН =Предельная одноосновная карбоновая кислота (бутановая)

СН₃С(=О)-О-СН₂СН₃ =Сложный эфир (этилацетат)

4) СН₃-СН=СН-СН₃  =Алкены (бутен-2)

СН₂=СН-СН₂-СН₃   бутен-1

5) НС(=О)Н   =Альдегид (метаналь)

6) С₂Н₅СООН =Предельная одноосновная карбоновая кислота (пропановая)

7) СН₃-С≡С-СН₃  =Алкин (бутин-2)

СН₃-СН₂-С≡СН - бутин-1

8)НСООН =Предельная одноосновная карбоновая кислота (метановая, или уксусная)

9)  С₆Н₄(СН₃)₂ =Арен (диметилбензол)

10) С₆Н₁₃ОН = Одноатомный спирт (гексанол)

11) =Сложный эфир (бутилформиат)

12) =Простой эфир пропилэтиловый эфир)

13)  СН₃-СН₂-С(=О)-Н =Альдегид (пропаналь)

СН₃-С(=О)-СН₃ = Кетон (пропанон, или ацетон)

14) СН₃-СООН =Одноосновная карбоновая кислота (уксусная, или этановая) к-та)

15) С₂Н₅ОН = Одноатомный спирт (этанол)

16) = Простой эфир (метилэтиловый эфир)

17) = Алкан (бутан)

18) = Алкен (бутен-2)

19) = Одноосновная карбоновая кислота (уксусная, или этановая к--та)

4,7(28 оценок)
Это интересно:
Новые ответы от MOGZ: Химия
logo
Вход Регистрация
Что ты хочешь узнать?
Спроси Mozg
Открыть лучший ответ