М
Молодежь
К
Компьютеры-и-электроника
Д
Дом-и-сад
С
Стиль-и-уход-за-собой
П
Праздники-и-традиции
Т
Транспорт
П
Путешествия
С
Семейная-жизнь
Ф
Философия-и-религия
Б
Без категории
М
Мир-работы
Х
Хобби-и-рукоделие
И
Искусство-и-развлечения
В
Взаимоотношения
З
Здоровье
К
Кулинария-и-гостеприимство
Ф
Финансы-и-бизнес
П
Питомцы-и-животные
О
Образование
О
Образование-и-коммуникации
insaimner
insaimner
26.09.2020 18:07 •  Химия

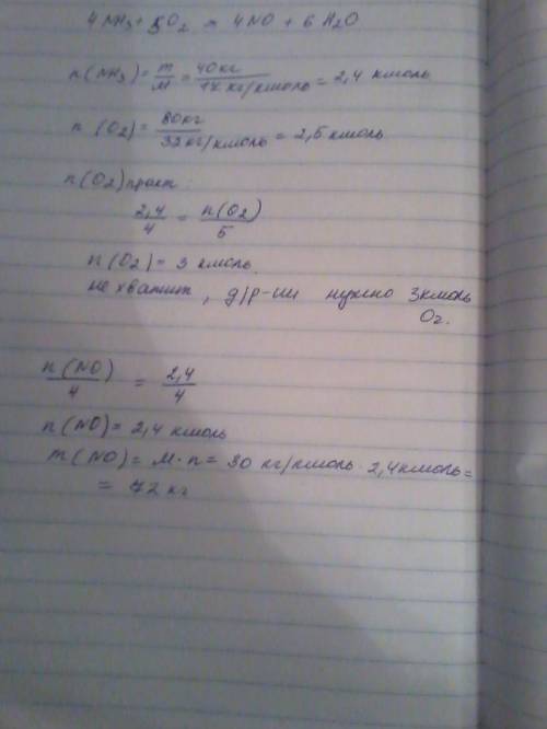
Достаточно ли кислорода массой 80 кг для окисления аммиака массой 40 кг? какова масса получившегося оксида азота (2)

👇
Ответ:
bambar29ozvclx
bambar29ozvclx
26.09.2020
............................
Достаточно ли кислорода массой 80 кг для окисления аммиака массой 40 кг? какова масса получившегося
4,7(36 оценок)
Открыть все ответы
Ответ:
portal1234
portal1234
26.09.2020
Понятно, что 172-го элемента еще и близко не открыли, но можем пофантазировать и все-таки провести теоретические расчеты
По IUPAC символ этого элемента - Usb, а название - Унсептбий
Предположительная электронная конфигурация такая
1s²2s²2p⁶3s²3p⁶4s²3d¹⁰4p⁶5s²4d¹⁰5p⁶6s²4f¹⁴5d¹⁰6p⁶7s²5f¹⁴6d¹⁰7p⁶8s²5g¹⁸6f¹⁴7d¹⁰8p⁶9s²6g³, ну или более упрощенно [Uho]9s²6g³
Видим что последние 3 электрона на g-подуровне, поэтому их квантовые числа могут быть следующими
Главное квантовое число: 9
Орбитальное квантовое число: g(4)
Магнитное квантовое число для каждого электрона: -4, -3, -2
Спин всех трех электронов: +½

Но пока это все просто теоретические догадки.
4,4(94 оценок)
Ответ:
Ctatuetca
Ctatuetca
26.09.2020
1) растворить пробы веществ воде:
карбонат кальция плохо растворим, на дне пробирки останется белый осадок; сульфат меди при растворении даст голубой раствор.

2) на оставшиеся три раствора подействовать индикатором - фенолфталеином:
раствор сульфата калия останется бесцветным;
растворы гидроксида калия и гидроксида бария окрасятся в фуксиновый цвет.

3) к двум окрашенным растворам добавить раствор серной кислоты:
окраска раствора гидроксида калия обесцветится
2KOH + H₂SO₄ = K₂SO₄ + 2H₂O

окраска раствора гидроксида бария обесцветится, выпадет белый осадок сульфата бария
Ba(OH)₂ + H₂SO₄ = BaSO₄↓ + 2H₂O
4,5(54 оценок)
Новые ответы от MOGZ: Химия
logo
Вход Регистрация
Что ты хочешь узнать?
Спроси Mozg
Открыть лучший ответ