М
Молодежь
К
Компьютеры-и-электроника
Д
Дом-и-сад
С
Стиль-и-уход-за-собой
П
Праздники-и-традиции
Т
Транспорт
П
Путешествия
С
Семейная-жизнь
Ф
Философия-и-религия
Б
Без категории
М
Мир-работы
Х
Хобби-и-рукоделие
И
Искусство-и-развлечения
В
Взаимоотношения
З
Здоровье
К
Кулинария-и-гостеприимство
Ф
Финансы-и-бизнес
П
Питомцы-и-животные
О
Образование
О
Образование-и-коммуникации
marta4191
marta4191
18.01.2022 09:35 •  Химия

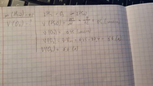
Найдите объем кислорода,необходимый для получения 9 г воды.

👇
Ответ:
dalepidorasp0833z
dalepidorasp0833z
18.01.2022
Решение на фото. Успехов на химии !
Найдите объем кислорода,необходимый для получения 9 г воды.
4,7(50 оценок)
Открыть все ответы
Ответ:
28номер
28номер
18.01.2022
В порядке возрастания неметаллических свойств элементы расположены в ряду:
4) B,C,O,F
В порядке усиления металлических свойств элементы расположены в ряду:
1) АI,Са, К
В каком ряду элементы расположены в порядке возрастания их атомного радиуса?
2) O,S,Se,Te
В каком ряду простые вещества расположены в порядке усиления металлических свойств?
1) Mg, Ca, Ва
По периоду слева направо уменьшается (-ются)
1) атомный радиус элементов
Электроотрицательность химических элементов с возрастанием заряда ядра атома
3) увеличивается в периодах, а в группах уменьшается
В главных подгруппах периодической системы восстановительная атомов химических элементов растет с
2)увеличением числа энергетических уровней в атомах
4,5(80 оценок)
Ответ:
лусине2007
лусине2007
18.01.2022
В порядке возрастания неметаллических свойств элементы расположены в ряду:
4) B,C,O,F
В порядке усиления металлических свойств элементы расположены в ряду:
1) АI,Са, К
В каком ряду элементы расположены в порядке возрастания их атомного радиуса?
2) O,S,Se,Te
В каком ряду простые вещества расположены в порядке усиления металлических свойств?
1) Mg, Ca, Ва
По периоду слева направо уменьшается (-ются)
1) атомный радиус элементов
Электроотрицательность химических элементов с возрастанием заряда ядра атома
3) увеличивается в периодах, а в группах уменьшается
В главных подгруппах периодической системы восстановительная атомов химических элементов растет с
2)увеличением числа энергетических уровней в атомах
4,4(14 оценок)
Это интересно:
Новые ответы от MOGZ: Химия
logo
Вход Регистрация
Что ты хочешь узнать?
Спроси Mozg
Открыть лучший ответ