М
Молодежь
К
Компьютеры-и-электроника
Д
Дом-и-сад
С
Стиль-и-уход-за-собой
П
Праздники-и-традиции
Т
Транспорт
П
Путешествия
С
Семейная-жизнь
Ф
Философия-и-религия
Б
Без категории
М
Мир-работы
Х
Хобби-и-рукоделие
И
Искусство-и-развлечения
В
Взаимоотношения
З
Здоровье
К
Кулинария-и-гостеприимство
Ф
Финансы-и-бизнес
П
Питомцы-и-животные
О
Образование
О
Образование-и-коммуникации
bella80
bella80
05.09.2022 09:57 •  Химия

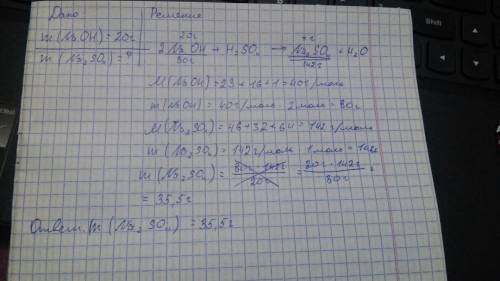
Определите массу соли, которая образуется при взаимодействии 20 г гидроксида натрия с серной кислотой.

👇
Ответ:
salavatshakiro
salavatshakiro
05.09.2022
Все на картинке, надеюсь
Определите массу соли, которая образуется при взаимодействии 20 г гидроксида натрия с серной кислото
4,6(49 оценок)
Открыть все ответы
Ответ:
эля0521
эля0521
05.09.2022
1. по свойствам наиболее близки элементы: 1) углерод и азот 2) бор и углерод 3) углерод и кремний 4) хлор и аргон 2. укажите смысл номера периода в п.с. 1) равен числу протонов в атоме 2) равен общему числу электронов в атоме 3) показывает число энергетических уровней, на которых находятся электроны в основном состоянии атома 4) равен числу валентных электронов. 3. выберите элементы р-семейства: 1) алюминий 2) гелий 3) аргон 4) хлор 4. к семейству d – элементов относят символы: 1) калия 2) железа 3) хрома 4) ксенона 5. элемент с атомным номером 88 относят к семейству: 1) s 2) p 3) d 4) f 6. в периодической зависимости при увеличении заряда ядра на единицу изменяются: 1) относительная атомная масса элемента 2) э.о 3) восстановительные и окислительные свойства атомов элементов 4) радиус атома. 7. в ряду элементов натрий, магний, алюминий восстановительные свойства атомов: 1) возрастают 2) уменьшаются
4,8(34 оценок)
Ответ:
ХЗшкин
ХЗшкин
05.09.2022

1. Добавим раствор серной кислоты, в пробирке с карбонатом начнём выделяться газ, в пробирке с хлоридом бария выпадет белый осадок

K2CO3+H2SO4=K2SO4+H2O+CO2

CO3(2-)+2H(+)=H2O+CO2

BaCl2+H2SO4=BaSO4+2HCl

Ba(2+)+SO4(2-)=BaSO4

2. Добавим раствор карбоната калия, в пробирке с кислотой выделится газ

K2CO3+H2SO4=K2SO4+H2O+CO2

CO3(2-)+2H(+)=H2O+CO2

Добавим раствор хлорида бария, в пробирке с сульфатом выпадет белый осадок

BaCl2+K2SO4=BaSO4+2KCl

Ba(2+)+SO4(2-)=BaSO4

В оставшейся пробирке хлорид, можно добавить нитрат серебра (I), выпадет белый осадок, нерастворимый в азотной кислоте

KCl+AgNO3=AgCl+KNO3

Cl(-)+Ag(+)=AgCl

Объяснение:

4,4(81 оценок)
Это интересно:
Новые ответы от MOGZ: Химия
logo
Вход Регистрация
Что ты хочешь узнать?
Спроси Mozg
Открыть лучший ответ