М
Молодежь
К
Компьютеры-и-электроника
Д
Дом-и-сад
С
Стиль-и-уход-за-собой
П
Праздники-и-традиции
Т
Транспорт
П
Путешествия
С
Семейная-жизнь
Ф
Философия-и-религия
Б
Без категории
М
Мир-работы
Х
Хобби-и-рукоделие
И
Искусство-и-развлечения
В
Взаимоотношения
З
Здоровье
К
Кулинария-и-гостеприимство
Ф
Финансы-и-бизнес
П
Питомцы-и-животные
О
Образование
О
Образование-и-коммуникации
devochkaSlava
devochkaSlava
21.05.2023 07:10 •  Химия

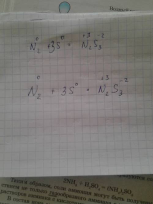
Сера + азот формула и дать название

👇
Ответ:
novkristinaa
novkristinaa
21.05.2023
.......
Сера + азот формула и дать название
4,6(8 оценок)
Открыть все ответы
Ответ:
dghfgjuf
dghfgjuf
21.05.2023
Pb(NO3)2 + 2NaI = PbI2(стрелка вниз) + 2NaNO3
m вещества = w * m раствора
m в-ва(Pb(NO3)2) = 0,25 * 662 = 165,5 г
m в-ва(NaI) = 0,5 * 150 = 75 г
n = m/M
n(Pb(NO3)2) = 165,5/331 = 0,5 моль
n(NaI) = 75/150 = 0,5 моль
n(NaI) : n(Pb(NO3)2) по условию = 2 : 1 
                               по уравнению = 0,5 : 0,5
Значит Pb(NO3)2 в избытке. Считаем по недостатку NaI
n(NaI) : n(PbI2) : n(NaNO3) = 2 : 1 : 2
n(PbI2) = n(NaI)/2 = 0,5/2 = 0,25 моль
n(NaNO3) = 0,5 моль
Т.к. PbI2 выпадает в осадок, то масса конечного раствора:
m раствора = m р-ра(Pb(NO3)2 + m раствора(NaI) - m(PbI2) 
m(PbI2) = M*n = 367 * 0,25 = 91,75 г
m раствора = 662 + 150 - 91,75 = 720,25 г 
n(Pb(NO3)2) : n(NaI) = 1 : 2
n прорегар.(Pb(NO3)2 = n(NaI)/2 = 0,5/2 = 0,25 моль
n ост.(Pb(NO3)2) = 0,5 - 0,25 = 0,25 моль
В растворе содержатся две соли: получившаяся соль NaNO3 и оставшаяся после реакции Pb(NO3)2
m = M*n 
m(NaNO3) = 85 * 0,5 = 42,5 г
m ост.(Pb(NO3)2) = 331 * 0,25 = 82,75 г
w = m в-ва / m р-ра   * 100%
w(NaNO3) = 42,5 / 720,25    *100% = 5,9%
w(Pb(NO3)2) = 82,75 / 720,25   *100% = 11,5%
ответ:
а) m(PbI2) = 91,75 г
б) m(NaNO3) = 42,5 г
в) w(NaNO3) = 5,9%
г) m ост.(Pb(NO3)2) = 82,75 г
д) w(Pb(NO3)2) = 11,5%
4,5(100 оценок)
Ответ:
Рассчитаем n(H2SO4)
294/98 = 3 моль
Следовательно, оксид и кислота взяты в соотношении 1:1
Однако, из уравнения реакции
Al2O3 + 3H2SO4 = Al2(SO4)3 + 3H2O
следует, что количество вещества кислоты должно быть в три раза больше, чем количество оксида. Т.о. кислота взята с недостатком и прореагирует полностью, а количество образовавшейся соли будет определяться количеством вступившей в реакцию кислоты.
Из каждых 3 моль кислоты образуется 1 моль соли, т.е. из 294 г (3 моль) серной кислоты образуется 1 моль соли.
ответ: n(Al2(SO4)3) = 1 моль
4,6(87 оценок)
Новые ответы от MOGZ: Химия
Полный доступ к MOGZ
Живи умнее Безлимитный доступ к MOGZ Оформи подписку
logo
Вход Регистрация
Что ты хочешь узнать?
Спроси Mozg
Открыть лучший ответ