М
Молодежь
К
Компьютеры-и-электроника
Д
Дом-и-сад
С
Стиль-и-уход-за-собой
П
Праздники-и-традиции
Т
Транспорт
П
Путешествия
С
Семейная-жизнь
Ф
Философия-и-религия
Б
Без категории
М
Мир-работы
Х
Хобби-и-рукоделие
И
Искусство-и-развлечения
В
Взаимоотношения
З
Здоровье
К
Кулинария-и-гостеприимство
Ф
Финансы-и-бизнес
П
Питомцы-и-животные
О
Образование
О
Образование-и-коммуникации
vaco1taps
vaco1taps
12.02.2020 09:48 •  Химия

Расставить коэффициенты методом электронного : cl2+naoh-> naclo+nacl+h2o

👇
Ответ:
Dimatrubilov
Dimatrubilov
12.02.2020
Cl2 + 2NaOH = NaClO + NaCl + H2O
реакция диспропорционирования
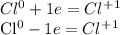
ClCl^0 + 1e = Cl^+^1

Cl^0 - 1e = Cl^+^12+1e 
баланса нет, значит коэффициенты простые
4,6(13 оценок)
Открыть все ответы
Ответ:
innahot418
innahot418
12.02.2020

1) Если концентрацию раствора выразить в долях единицы,  то массу растворенного вещества в граммах находят по формуле:

m(в-во) = ω * m(p-p)

где: m(p-p) - масса раствора в граммах,

      ω - массовая доля растворенного вещества, выраженная в долях единицы.

20% - это 0,2 в долях единицы, а 30% - 0,3.

2) Обозначим массу раствора после выпаривания через Х граммов. Так как при выпаривании масса растворённого вещества не изменяется, то можем составить уравнение:

0,2*400 = 0,3*Х

0,3Х = 80

Х = 266,7 г

3) Тогда масса выпаренной воды составляет:

400 - 266,7 = 133,3 г

4,5(91 оценок)
Ответ:
auviktory
auviktory
12.02.2020

Ca-элемент 2 группы главной подгруппы 4 периода, 20 атомный номер

Мягкий металл, активен, щелочноземельный. Активность ниже, чем Li,  Cs, Ba. Он легко взаимодействует с O2, CO2 и влагой воздуха, из-за чего поверхность кальция тускло-серая, поэтому в лаборатории кальций обычно хранят, как и другие щёлочноземельные металлы, в плотно закрытой банке под слоем керосина или жидкого парафина.

Реагирует как металл с  неметаллами, водой, бурно с кислотами (может взорваться).

Радиус атома=197

НЕМЕТАЛЛИЧЕСКИХ СВОЙСТВ НЕ ПРОЯВЛЯЕТ!

4,8(6 оценок)
Это интересно:
Новые ответы от MOGZ: Химия
logo
Вход Регистрация
Что ты хочешь узнать?
Спроси Mozg
Открыть лучший ответ