М
Молодежь
К
Компьютеры-и-электроника
Д
Дом-и-сад
С
Стиль-и-уход-за-собой
П
Праздники-и-традиции
Т
Транспорт
П
Путешествия
С
Семейная-жизнь
Ф
Философия-и-религия
Б
Без категории
М
Мир-работы
Х
Хобби-и-рукоделие
И
Искусство-и-развлечения
В
Взаимоотношения
З
Здоровье
К
Кулинария-и-гостеприимство
Ф
Финансы-и-бизнес
П
Питомцы-и-животные
О
Образование
О
Образование-и-коммуникации
sanyok505
sanyok505
26.11.2022 05:03 •  Химия

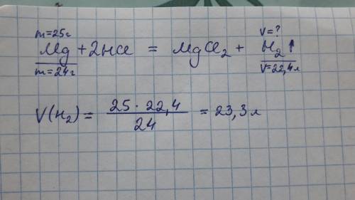
Определите объем газа, образующегося при взаимодействии 25г магния с соляной кислотой. ! !

👇
Ответ:
scaier
scaier
26.11.2022
Вот! Надеюсь, все видно и понятно
Определите объем газа, образующегося при взаимодействии 25г магния с соляной кислотой. ! !
4,7(35 оценок)
Открыть все ответы
Ответ:
ДочьЛюци
ДочьЛюци
26.11.2022
Ca(NO₃)₂ + H₂SO₄= CaSO₄↓ + 2HNO₃
Ca²⁺ + 2NO₃ ⁻ + 2H⁺ + SO₄²⁻ = CaSO₄↓ +2H⁺ +2NO₃ ⁻
 Ca²⁺ + SO₄²⁻ = CaSO₄↓
FeCI₂ + MgSiO₃  -Реакция пройдет в две ступени, 1- гидролиз хлорида железа(ll), получится соляная кислота, которая будет взаимодействовать с силикатом  магния. Если Вы еще не учили гидролиз то ответьте, что реакция не возможна
FeCI₂ + MgSiO₃  ≠
Если учили гидролиз то реакции будут:
1.
 FeCI₂ + 2H-OH ⇔ 2Fe(OH)CI + 2HCI
 2.
2HCI  + MgSiO₃ = MgCI₂ + H₂SiO₃↓
2H⁺ + 2CI ⁻+ MgSiO₃= Mg²⁺ + 2CI ⁻+ H₂SiO₃↓
 2H⁺ + MgSiO₃= Mg²⁺ + H₂SiO₃↓
4,4(47 оценок)
Ответ:
temamojet1997
temamojet1997
26.11.2022
3)NH₄Cl
Частица  NH₄⁺ образована по донорно-акцепторному механизму.
У атома азота на последнем уровне 5 электронов: 2 спаренных и 3 неспаренных. Поскольку электроотрицательность азота выше чем водорода и он оттягивает на себя электронную плотность от 3 атомов водорода. Азот в этой частице имеет степень окисления -3.        N⁻³H₃⁺
У иона азота имеется 2 неспаренных электрона, а у иона водорода есть свободная орбиталь на которую эти электроны "садятся" .  Азот здесь выступает донором, а водород акцептор это  привело к образованию связи по  донорно- акцептроному механизму. NH₄⁺
 Эта связь не направлена, как это было выше описано при присоединении азотом 3 атомов водорода, но за счет иона водорода(+) частица получает заряд (+)
Таким образом в частице NH₄⁺ степень окисления азота -3,  а валентность 4.
4,6(64 оценок)
Это интересно:
Новые ответы от MOGZ: Химия
logo
Вход Регистрация
Что ты хочешь узнать?
Спроси Mozg
Открыть лучший ответ