М
Молодежь
К
Компьютеры-и-электроника
Д
Дом-и-сад
С
Стиль-и-уход-за-собой
П
Праздники-и-традиции
Т
Транспорт
П
Путешествия
С
Семейная-жизнь
Ф
Философия-и-религия
Б
Без категории
М
Мир-работы
Х
Хобби-и-рукоделие
И
Искусство-и-развлечения
В
Взаимоотношения
З
Здоровье
К
Кулинария-и-гостеприимство
Ф
Финансы-и-бизнес
П
Питомцы-и-животные
О
Образование
О
Образование-и-коммуникации
Filipskaya20
Filipskaya20
02.03.2023 22:53 •  Химия

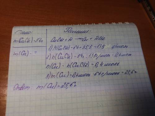
Вводе растворили 54 г хлорида меди (ii). какую массу меди можно получить при действии железа на полученный раствор.

👇
Ответ:
ксения1291
ксения1291
02.03.2023
Решение находится на фото
Вводе растворили 54 г хлорида меди (ii). какую массу меди можно получить при действии железа на полу
4,8(48 оценок)
Открыть все ответы
Ответ:
arujan20071
arujan20071
02.03.2023
Возьмите пробирку, в которой предположительно содержится серная кислота (H2SO4). Аккуратно добавьте туда немного раствора хлорида бария (BaCl2), не допуская попадания вещества на кожу. Внимательно следите за происходящей реакцией.3Если заметных в растворе не произойдет, значит исходное вещество не вступило в реакцию. То есть перед вами не серная кислота. Если же вы увидите появление осадка белого цвета, значит в результате реакции образовался сульфат бария (BaSO4). Это будет доказательством того, что исходное вещество в вашей пробирке действительно является серной кислотой, а не, например, соляной или азотной.4В виде формулы данная качественная реакция выглядит следующим образом: H2SO4 + BaCl2 = BaSO4 + 2HCl. Сульфат бария обладает наименьшей растворимостью среди всех сульфатов и образует хорошо заметный белоснежный осадок, поэтому для проведения качественной реакции на сульфат-ион используют именно это вещество
4,5(50 оценок)
Ответ:
киокочан1
киокочан1
02.03.2023

ответ:

16 г

объяснение:

реакция взаимодействия бромной воды с бензолом в присутствии хлорида железа (iii)

c_6h_6 + br_2 = c_6h_5br + hbr

массу бензола можно вычислить из его объема и данной плотности:

m = 17.73 * 0.88 ≈ 15.6 г

найдем количество вещества бензола. молярная масса бензола равна 78, тогда количество вещества бензола равна 0.2 молям. столько же молей требуется и для брома, то есть 0.2 моль. по молярной массе брома можем найти и требуемую массу для реакции: m(br2) = 80 г / моль, а значит m(br2) = 80 * 0.2 = 16 г

4,6(66 оценок)
Это интересно:
Новые ответы от MOGZ: Химия
logo
Вход Регистрация
Что ты хочешь узнать?
Спроси Mozg
Открыть лучший ответ