М
Молодежь
К
Компьютеры-и-электроника
Д
Дом-и-сад
С
Стиль-и-уход-за-собой
П
Праздники-и-традиции
Т
Транспорт
П
Путешествия
С
Семейная-жизнь
Ф
Философия-и-религия
Б
Без категории
М
Мир-работы
Х
Хобби-и-рукоделие
И
Искусство-и-развлечения
В
Взаимоотношения
З
Здоровье
К
Кулинария-и-гостеприимство
Ф
Финансы-и-бизнес
П
Питомцы-и-животные
О
Образование
О
Образование-и-коммуникации
katcornewa
katcornewa
12.05.2022 00:31 •  Химия

Коррозия металлов. составьте уравнения катодного и анодного процессов при коррозии оцинкованного и луженого железа ( при нарушении целостности покрытия ) а) в кислой среде б) в нейтральной водной среде , содержащей растворённый кислород .

👇
Ответ:
arsen7076ovwzre
arsen7076ovwzre
12.05.2022
Процессы на оцинкованном железе
Цинк здесь будет более активный металл, поэтому он будет анодом, ну, а железо катодом
- кислая среда
\begin{array}{l} A(-): \; Zn^{0} - 2e^{-} \to Zn^{2+} \\ K(+): \; 2H^{+} + 2e^{-} \to H_{2}^{0} \end{array}
- нейтральная среда
\begin{array}{l} A(-): \; Zn^{0} - 2e^{-} \to Zn^{2+} \\ K(+): \; O_{2} + 2H_{2}O + 4e^{-} \to 4OH^{-} \end{array}

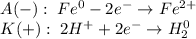
Процессы на луженом железе
Здесь уже железо, как более активный металл, будет выступать анодом, а олово катодом
- кислая среда
\begin{array}{l} A(-): \; Fe^{0} - 2e^{-} \to Fe^{2+} \\ K(+): \; 2H^{+} + 2e^{-} \to H_{2}^{0} \end{array}
- нейтральная среда
\begin{array}{l} A(-): \; Fe^{0} - 2e^{-} \to Fe^{2+} \\ K(+): \; O_{2} + 2H_{2}O + 4e^{-} \to 4OH^{-} \end{array}
4,8(36 оценок)
Открыть все ответы
Ответ:
sashashenko
sashashenko
12.05.2022

Дано:

m(NaNO3(p-p)) = 460 г.

w (примесей) = 7%

Найти:

m(HNO3) - ?

Чтобы найти массу чистого вещества (NaNO3), для начала нужно высчитать его массовую долю в растворе:

w(NaNO3) = 100% - 7% = 93%

Теперь найдем массу вещества:

m(в-ва) = (m(р-ра) × w)/100%

m(NaNO3) = (460 г. × 93%)/100% = 427,8 г.

Запишем уравнение реакции:

427,8 г. x

2NaNO3 + H2SO4 → 2HNO3 + Na2SO4

1 моль 1 моль

170 г. 126 г.

Вычислим молярную массу каждого из подчеркнутых веществ:

Мr(NaNO3) = 23 + 14 + 16×3 = 85 г/моль

Mr(HNO3) = 1 + 14 + 16×3 = 63 г/моль

Составим пропорцию для нахождения массы азотной кислоты:

427,8/170 = x/126

x = (427,8×126)/170

x ≈ 317,08 г.

ответ: m(HNO3) = 317,08 г.

4,6(87 оценок)
Ответ:
Texero
Texero
12.05.2022

Объяснение:

1)     Х г                     190 г

     2Na          +        2H2O    =     2NaOH     +    H2

n=2 моль                n=2 моль

М = 23 г/моль         М = 18 г/моль

m=46 г                     m=36 г

Х г    Na    -     190 г   Н2О

46 г  Na    -       36   г   Н2О

m(Na) = 46 * 190 / 36 =243 г

         10 л                                        Х г

2)      N2O5       +      H2O     =     2HNO3

     n=1 моль                                 n=2 моль

   Vm=22,4 л/моль                   М = 63 г/моль

    V = 22,4 л                              m=126 г

10 л  N2O5   -    Х г   HNO3

22,4 л N2O5  -  126 г  HNO3

m(HNO3) = 10 * 126 / 22,4 = 56,25 г

4,5(17 оценок)
Это интересно:
Новые ответы от MOGZ: Химия

MOGZ ответил

Полный доступ к MOGZ
Живи умнее Безлимитный доступ к MOGZ Оформи подписку
logo
Вход Регистрация
Что ты хочешь узнать?
Спроси Mozg
Открыть лучший ответ