М
Молодежь
К
Компьютеры-и-электроника
Д
Дом-и-сад
С
Стиль-и-уход-за-собой
П
Праздники-и-традиции
Т
Транспорт
П
Путешествия
С
Семейная-жизнь
Ф
Философия-и-религия
Б
Без категории
М
Мир-работы
Х
Хобби-и-рукоделие
И
Искусство-и-развлечения
В
Взаимоотношения
З
Здоровье
К
Кулинария-и-гостеприимство
Ф
Финансы-и-бизнес
П
Питомцы-и-животные
О
Образование
О
Образование-и-коммуникации
Файрома
Файрома
06.03.2023 19:47 •  Химия

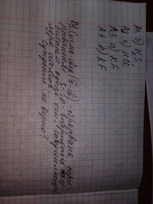
A1) укажите вещество с ковалентной связью. а) хлорид магния б) сероводород в) сульфид кальция г) фосфид калия a2) в каком соединение наиболее полярная связь? а) сероводород б) бромоводород в) фосфин г) хлороводород а3) в какой паре ярко выражен ионный характер связи ? а) калий-фтор б) кислород-фтор в) фтор-фтор г) водород-фтор а4) для какого вещества характерна ионная кристаллическая решетка? а) алмаза б) фторида калия в) оксида углерода (iv) г) кислорода в1. верно ли, что сигма-связь возникает врезультате бо кового перекрывания орбиталей, она подвижна и легко поляризуема?

👇
Ответ:
LiliLaind
LiliLaind
06.03.2023
ответ есть на фотографии
A1) укажите вещество с ковалентной связью. а) хлорид магния б) сероводород в) сульфид кальция г) фос
4,8(43 оценок)
Открыть все ответы
Ответ:
lisniczova
lisniczova
06.03.2023
Учёный, открыл периодический закон элементов и создал периодическую систему элементов. периодический закон и система стали важнейшим вкладом в развитие естествознания. он написал 25 томов сочинений - настоящая энциклопедия знаний. он привёл в систему разрозненные сведения об изормофизме, это сыграло роль в . он открыл криитическую температуру кипения, разработал гидратную теорию растворов. автор учебника "основа "  да что туту говорить если бы не он мы бы до сих пор жили как первобытные люди. если бы не он не было бы лекарств которые лечат практически любое болезнь и не было бы такий промышленный открытий
4,8(99 оценок)
Ответ:
laskovetsigor2
laskovetsigor2
06.03.2023
Do we need exams? of course, yes! the exam tests how we have mastered the material, how we do sums, how we have learned to write essays, if we know the basic historical dates, how we have learned to live safely, if we know the continents and the continents and etc. what are   the test exams? in my opinion,   it’s a waste of time. sometimes someone just gets lucky, and he answers correctly. and sometimes he is out of luck. tests may be solved without straining, just random. and it is bad, of course. i think the exam should not be a test. however, many smart people cannot pass their exams. why? there are many reasons, and they are different. often a person is formed only in the area where he is famous, and he knows everything about this science. thus, the smartest physicists may not know the foreign languages ​​or poorly verse in literature. and vice versa. sometimes a person is smart, but it does not mean that he is educated. these are different things. as for the exams, i prefer to take exams orally, because i have more opportunities to show my knowledge, looking into the eyes of my teacher- examinator.нужно ли нам экзамены? конечно, да! экзамены проверяют как мы освоили материал, что мы умеем решать, как мы научились писать сочинения, знаем ли мы основные даты, научились ли мы жить безопасно, знаем ли мы материки и континенты и так далее.  что такое тестовые экзамены? по-моему, это пустая трата времена. иногда мне просто везет, и я отвечаю правильно. а иногда не везет. тесты можно решать не напрягаясь, просто наугад. и это плохо. мне кажется, экзамены не должны быть тестовыми. однако, многие умные люди не могут сдать экзамены. почему? причин много и они разные. часто человек образован только в той области, в которой он знаменит и знает всё. так, умнейшие могут совсем не знать иностранных языков или плохо разбираются в . и наоборот. человек бывает умным, но это не значит, что он образованный. это разные вещи. что касается экзаменов, я предпочитаю сдавать экзамены устно, потому что у меня больше возможностей показать свои знания, глядя в глаза учителю-экзаменатору.
4,6(99 оценок)
Новые ответы от MOGZ: Химия
logo
Вход Регистрация
Что ты хочешь узнать?
Спроси Mozg
Открыть лучший ответ