М
Молодежь
К
Компьютеры-и-электроника
Д
Дом-и-сад
С
Стиль-и-уход-за-собой
П
Праздники-и-традиции
Т
Транспорт
П
Путешествия
С
Семейная-жизнь
Ф
Философия-и-религия
Б
Без категории
М
Мир-работы
Х
Хобби-и-рукоделие
И
Искусство-и-развлечения
В
Взаимоотношения
З
Здоровье
К
Кулинария-и-гостеприимство
Ф
Финансы-и-бизнес
П
Питомцы-и-животные
О
Образование
О
Образование-и-коммуникации
Глеб0417
Глеб0417
18.04.2022 17:24 •  Химия

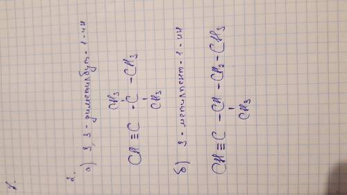
1. напишіть чотири ізомери складу с2н12. дайте їм нзви. 2. напишіть структурні формули алканів за їхніми назвами: а) 3,3 - диметилбут- 1-ин б)3-метилпент- 1-ин 3. який максимальний обєм хлору може приєднати 0.2 моль етину? 4.алкін масою 13.6 г вступив у реакцію з гідроген бромідом масою 32.4 г. визначте формулу алкіну,

👇
Ответ:
lemenukillya
lemenukillya
18.04.2022
Формули до другого на фото
1. напишіть чотири ізомери складу с2н12. дайте їм нзви. 2. напишіть структурні формули алканів за їх
4,5(26 оценок)
Открыть все ответы
Ответ:
lianagabrielya
lianagabrielya
18.04.2022

Объяснение:

Дано:

m(розчину)=40 г

ω(NaOH)=2%=0,02

m(NaOH)-?

Розв'язування:  

іб  

Знаходимо масу речовини (NaOH) в розчині за формулою:  

m(речовини)=ω(речовини)•m(розчину)  

m(NaOH)= 0,02 × 40 г = 0,8 г

іб  

Складаємо пропорцію і розв'язуємо її. Те, що масова частка розчиненої речовини у розчиніі становить 2% означає, що  

у 100 г розчину міститься 2 г NaOH, тоді  

у 40 г розчину буде міститися х г NaOH.  

100 г / 40 г = 2 г / х г, звідси  

х г × 100 г = 2 г × 40 г,  

х = (2 г × 40 г) : 100 г= 0,8 г, тому m(КОН)=0,8 г.

Відповідь: в розчині натрій гідроксиду масою 40 г з масовою часткою речовини 2% міститься натрій гідроксид масою 0,8 г.

4,8(37 оценок)
Ответ:
vlad777888666
vlad777888666
18.04.2022

1.Алканы: 

   - выбор главной цепи(самая длинная цепочка выберается )

   -нумерация атомов главной цепи(нумерация начинается с конца к которому ближе заместитей).Название заместителя формируется заменой суффикса -ан на суффикс -ил в названи соответствущего алкана.В начале указывают цифры -номера атомов углерода,при которых заместитель,если при атоме находится несколько заместителей,то соответствующий номер в названии повторяется дважды через запятую.После номера ставится дефис и указвается кооличество заместителй (ди-два,три-три,тетра-четыре,пента-пять) и название заместителей(метил,этил,например).Затем без дефисов название главной цепи.

2.Алкены 

  -выбор главной цепи( как у алканов)

  -нумерация атомов главной цепи начинается с того конца к которому ближе двойная связь

  -название : также как у алканов,только в конце,после названия цепи указывают номер атома углерода,у которого начинается двойная связь

   -суффикс у этого класса -ен

3.Алкины 

   -у алкинов почти все,как у алкенов,только там уже будет тройная связь(а не двойная) и суффикс -ин

4.Алкадиены 

  -указывают номера двойных связей.Главная цепь обязательно содержит обе кратные связи

5.Циклоалканы

  -название образуются добавлением к названию соответствующего алкана приставки -цикло

6.Ароматические углеводороды 

 -основой названия является слово бензол

 -нумеруют,начиная от старшего заметистителя к младшему.Если заместителя одинаковые,то нумерацию проводят по самому короткому пути

7.Спирты

  -суффикс -ол

  -после суффикса указывают положение гидроксильной группы и главной цепи (префиксами (ди,три,тетра) -их число) 

8.Альдегиды и кетоны

 -суффикс -аль (альдегидов) 

 -суффикс -он (кетоны)

 -нумерация у альдегидов начинают с атом углерода альдегидной группы

 -у кетонов цифрой указывают номер атма у оторого находится карбонильная группа (=o).Нумерация начиная от ближайщего к кетогруппе конца цепи 

9.Карбоновые кислоты

 -суффикс -ов ,окончаени -ая и слово кислота

-нумерация атомов углерода начинается с карбоксильной группы 

 -количество карбоксильных групп указывается в названии префиксами ди-,три-.

 

4,6(88 оценок)
Это интересно:
Новые ответы от MOGZ: Химия
logo
Вход Регистрация
Что ты хочешь узнать?
Спроси Mozg
Открыть лучший ответ